所屬科目:研究所、轉學考(插大)-高等微積分
1. (10%) Calculate
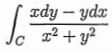
2. (10%) Calculate the line integral where C is the positive oriented curve in R2-{(0,0)} parametrized by
3. (10%) Determine if converges uniformly on [-π,π].
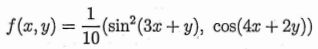
4. (10%) Show that the function f : R2 → IR2 defned by has a fixed point.
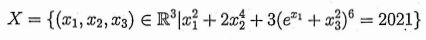
5.(10%) Show that the set is compact.
6. (10%) Let X be a topological space andbe compact subsets. Is A U B always a compact set? Prove or give a counterexample.
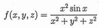
7. (10%) Let f :R3 →R be a function defined by for(x,y,z) . Can f be extended to a differentiable function on R3?
(a) (10%) Is the family equicotinuous on [0,π ]?
(b) (10%) Does the sequence have a convergent subsequence?
(c) (10%) Is the familycompact?