所屬科目:研究所、轉學考(插大)-微積分
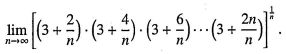
1.(10%)求極限
(B) (5%)
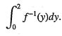
4.(10%)給定函數f(x)=x3+x2,x:[0,2]→[0,1]為f的反函數,求下列定積分值:
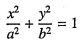
5.(10%)令a0,b>0且R為曲線所圍成的橢圓平面區域。求R繞著x-軸旋轉所形成之旋轉體的體積。
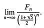
6.(10%)令為費布那西數列(FibonacciSequence,亦即滿足 下列遞迴關係式:
試求下列極限值:
(B)(5%)利用(A)求下列無窮級數的和:
(A)(5%)試問,兩向量是否垂直?
(B)(5%)請找出任一向量與兩向量皆垂直。
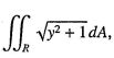
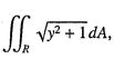
10.(10%)計算下列二重積分值:其中R是曲線與直線y=x在第一象限所圍成的平面區域。