所屬科目:研究所、轉學考(插大)-微積分
1. The coefficient of the x2 term in the Tayler series of expanded at 2 = 0 is(A) (In2)2/22 (B) (In2)2/2 (C)1n2/2 (D) In2/22
2. lim(x,y )→(0,0)= (A) 2 (B) 1 (C)0 (D) ㆀ
3.= (A) 1 (B) ㆀ (C) exp (1) (D) In(1)
Part 1: Fill in blanks. 1. =______
2. =______
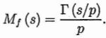
(a) For p > 0, f (x) = exp(-px), show that
(b) For p > 0, f(x) = exp , show that
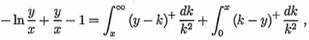
2. Given a natural logarithmic function Iny, for variables y > 0 and x > 0,calculate the right-hand side of the equation below is equal to the left-hand side.where z⁺ = max f{z, 0].