所屬科目:研究所、轉學考(插大)-近代物理學
(2) If this particle is confined in an infinite potential well of width a , that is, Find the energy levels En of this particle and the corresponding normalized wavefunctions by solving the Schrodinger's equation. (15%)
(3) Following (2), if the particle is in a state , find the detectable energies and the corresponding probabilities. (10%)
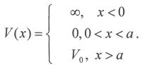
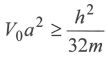
(4) Suppose now the particle is moving in the following potential: Show that the condition for the existence of at least one bound state of the particle is , where h is the Planck constant. (15%)