所屬科目:研究所、轉學考(插大)◆大氣物理
(c) (5%) Assume that the dependence of saturation specific humidity () on pressure is small. Derive the temperature dependency for changes in.
(d) (5%) With the help of (c), derive the pseudo-adiabatic temperature lapse rate in the following form. Specify the assumption used during the derivation.
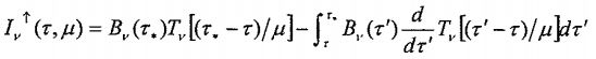
3. (20%) When radiation passes through a medium,the change of radiation is determined by?
4.(5%)ConsiderWhat is Tv ?