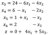
(a) (5 points) Let us introduce the slack variables x3, x4, x5, x6 to constraints 1, 2, 3, and 4, respectively so
X1,1220
that the objective function and equations, which are called dictionary, can be written as

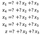
We let x3,x4,x5,X6 in the above dictionary be basic variables, and x1and x2 be the nonbasic
variables. What is the initial feasible solution (x1, X2,X3,X4.X5, X6.Z) based on the above dictionary in (a)
if both nonbasic variables are set as zero?