所屬科目:研究所、轉學考(插大)◆衛生工程
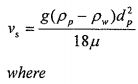
(b) In a dilute suspension, prove the terminal settling velocity (%) of spherical particles following the equation: (10 分) g= acceleration due to gravity; dp = particle diameter; ρp = density of particle; pw= density of water; μ =dynamic viscosity