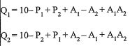
1. Consider a market in which there are two firms. Marginal costs for both firms are constant and equal to $4. While both firms are free to choose their respective advertising levels, A1, and A2, government regulation forces both firms to sell the product for $5 per nit. The demand curves for the two firms are given by:
For both firms, the total cost of producing A units of advertising is A2 (that is, A squared). Find the Nash equilibrium levels of advertising, A1, and A2.(20%)