所屬科目:研究所、轉學考(插大)◆統計理論
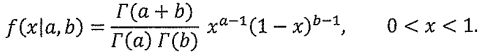
1. (10 points) Let X~Beta(a,β) and Y~Beta(a + β,γ) be two independent variables of beta distribution. Find the distribution of XY by making the transformations U=XY, V=Y. The pif of beta distribution, Beta(a,b), is given by
(b) (10 points) Use the MLE in (a) to obtain a 100 x (1 - c)% confidence interval for θ. Hint: is distributed as a Chi-square distribution.
(a) (5 points) Find the method of moment estimator of θ.
(b) (10 points) Find the limiting distribution of as n→∞ by the Delta method, where Tis the method of moment estimator of θ.
(a) (5 points) Find the uniform minimum variance unbiased estimator (UMVUE) of g(μ).
(b) (5 points) Find the Cramer-Rao lower bound (CRLB) for the variance of unbiased estimator of g (μ). Is the CRLB attained by the variance of the UMVUE?
(b) (2 points) When X, reject H0. Find the probability of type I error.
(e) (2 points) When hypothesis test: with the same significant level a given in Question(a), find the rejection region.
(f) (2 points) When hypothesis test: with the same significant level a given in Question(a), find the infimum (inf) of testing power.