所屬科目:研究所、轉學考(插大)◆水文學
1. 簡述單位歷線(unit hydrograph)的目的、限制及如何建立。(5%)
2. 某集水區之面積3.5 km²、集流時間1.25 h。請建立10分鐘延時 的SCS三角形單位歷線(超滲降雨1 cm)。(7%)
3. 將上述10分鐘延時之單位歷線以S歷線法(S-hydrograph method)轉換為30分鐘延時的單位歷線。(8%)
1. 簡述何謂洪水演算(flow routing),及水文法(hydrologic routing)及水理法(hydraulic routing)的優勢及 限制。(5%)
2. 使用下表的流量記錄,估計Muskingum 法的蓄水時間常數K(storage time constant)和加權因子X(weighting factor)。(10%)*Hint: Sj+1=Sj+[(Ij+1+Ij)-(Qj+1+Qj)]t/2; K=S/[Q̅+X(I̅-Q̅)]; X=0.15~0.23.
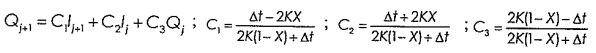
3. 計算 Muskingum 法的C1, C2, C3值。(5%)*Hint:
4. 若有一入流歷線條件如下方程式所示,根據前述計算結果估算其相應之出流歷線。(10%)
三、1. 簡述何謂積水時間(ponding time) tp及等效起始時間(equivalent time origin) t0,及兩者間有何關係。(5%)
(1)計算 Philip入滲公式中的S參數值。(5%)
(2)某場3小時之降雨事件如下表,試以Philip入滲公式計算每段時距之實際入滲率(actual infiltration rate)f及累計入滲量(cumulative infiltration depth) F。(10%)
四、(30%)1. 以最大概似法(maximum likelihood)推導常態分佈的平均數及變異數如下表示式。(7%)
(1)計算樣本平均數、標準差、偏態係數(sample mean, variance, and skewness coefficient)。(5%)
(2)計算頻率因子(frequency factor) KT及50年重現期之暴雨量P50。(7%)
(3)承上,且以a=0.05進行卡方檢定,若虛無假設(null hypothesis) H0: Xv² <Xv,1-a²。請問此虛無假設是否成立?為什麼?(11%)