所屬科目:研究所、轉學考(插大)-資料結構
7.在一個二元樹(binarytree)中,root為第一層,則第i層的節(node)數最多為: (A) 2i(B)(C)(D)
1.請將演算法、料結構分別填入以下空格處:
3.請完成以下程式碼:(請用row和col回答)
4.上圖為環狀佇列滿的狀況,最多允許有MAX_QUEUE_SIZE-1元素,請完成以下程式碼:
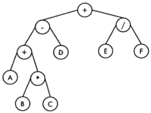
5.以中序走訪下圖之二元樹,其輸出結果為何?
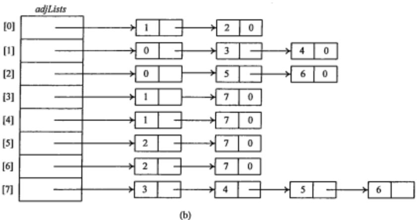
(三)問答題(每题10分,共20分) 1針對以下之graph结構,若以V2為起點使用DFS(Depth-first Search)方式所有node 進行逐一訪,則哪個node之訪順序會在V7之前一位?(請寫出尋訪過程)
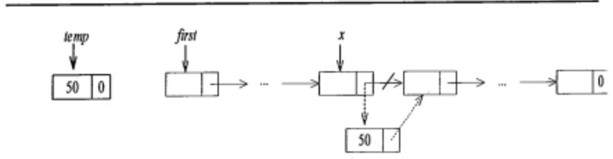
2.單向鏈結串列,從x節點後插入一個新節點,請完成以下程式碼: