所屬科目:熱力學與熱傳學
(二)可否用熱力學能量守恆 第一定律(亦即)來給一條公式,說明系統與環境每一瞬間的 能量關係?
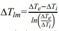
(三)需要多長的熱交換管?(對數平均溫 ∆Te ∆Ti 度,log mean temperature 公式為, ∆Ti、∆Te 代表入口溫差與出口溫差,水的比熱為 4187 J/kgK)(15 分)