所屬科目:(工業)安全工程
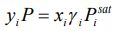
二、疫情期間,濃度 75%(體積百分比)的醫療藥用酒精成為重要防疫工具。 乙醇的密度為 0.8 g/cm3(水的密度為 1.0 g/cm3),75%(體積百分比)乙醇於其閃火點下的活性係數(γi)為 1.25(純乙醇的活性係數則為 1),若純乙醇的閃火點為 13℃,求 75%藥用酒精的閃火點?室溫下能否被點燃?乙醇的飽和蒸氣壓 與溫度 T(K)的關係式如下: 氣相莫耳組成 yi 與液相莫耳組成 xi 間的關係可利用以下氣液平衡關係式求得: 其中,分別為氣相壓力(大氣壓)與飽和蒸氣壓。(25 分)