所屬科目:離散數學
1. Prove that the product of two consecutive positive integers is always even.
2. Compute where n can be even or odd.
3. How many different possible shortest lattice paths to go from point (0,0) to point (7,5)? No need to give the final answer but showing how to calculate the answer is good enough.
4. Assume a person may get Covid-19 infected each time this person goes out by the probability p, compute the probability of getting Covid-19 if this person goes out 10 times. We also assume the probability of getting Covid-19 is independent for each going-out trip.
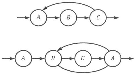
5. Describe the difference (if there is any) between the string sets generated by two state machines given below:
Say so if you think two state machines generate the same set of strings. Using examples is also welcome.
(i) ¬(P ∨ ¬Q),
(ii) P → Q, where "¬" indicates negation.
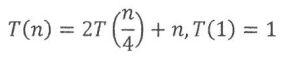
7. Solve the recurrence equation given below. Assume n = for some integer k ≥ 0.