所屬科目:專科學力鑑定◆專(一):工程數學
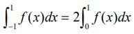
1. 若 f 是偶函數,則下列敘述何者正確? (A) , 是非負整數 (B) , 是非負整數 (C)f(-x)=-f(x)(D)
2. 已知向量 ,若向量 的外積 ,則 a +b =? (A) - 2 (B) 0 (C) 12 (D) 15
3. 若三向量 , , 的純量三重積 ,則 a =? (A) - 2 (B) 0 (C) 5 (D) 10
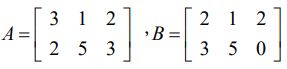
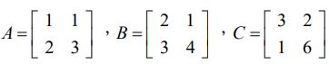
4. 若 ,則 2 A +3B-C =? (A) (B) (C) (D)
5. 若 ,則 a =? (A) - 8 (B) - 5 (C) 3 (D) 6
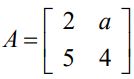
6. 若矩陣 是矩陣 的反矩陣,則 a+ b = 2 ? (A) - 6 (B) - 2 (C) 8 (D) 12
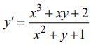
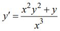
7. 若 y (x) 滿足微分方程式 ,且 y ( 0 ) 1= ,則 y ( x) =? (A) (B) (C) (D)
8. 已知向量 , , ,若向量內積 ,則 a =? (A) - 2 (B) 6 (C) 10 (D) 30
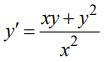
9. 下列哪一個微分方程式符合齊次微分方程式的定義? (A) (B) (C) (D)
10. 下列哪一組函數在 [ 0 , 2π ] 的區間上是線性獨立的? (A) (B) (C) (D)
11. 下列哪一項是微分方程式 的積分因子? (A) (B) sin x (C) (D) cos x
12. 若兩方程組 有相同解,則 a +b =? (A) - 2 (B) - 1 (C) 3 (D) 8
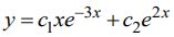
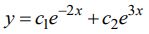
13. 下列何者為微分方程式 y''+y'-6y=0的解? (A) (B) (C) (D)
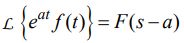
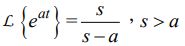
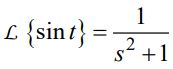
14. 設函數 f 定義在區間 [ 0 , ) ∞ 上, f 的拉普拉斯變換定義為 , 下列敘述何者正確? (A) (B) (C) (D) L { f (at)}= aF(as) ,α>0
15. 已知 ,若 表示矩陣 B 的轉置矩陣,則 =? (A) (B) (C) (D)
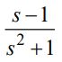
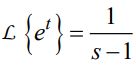
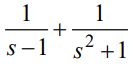
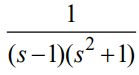
16. 已知 , , s >1,若 * f g 表示函數f與函數g的褶積, 則 (A) (B) (C) (D)
17. 下列敘述何者錯誤? (A) ,n 為非負整數 (B) , n為非負整數 (C) ,n 為非負整數且 n ≥ 1 (D) , n, m 為非負整數且 n ≠m
18. 若向量 是矩陣 對應於特徵值 λ = 7 的特徵向量,則 a =? (A) - 3 (B) - 1 (C) 3 (D) 5
19. 若 2 是矩陣 的一個特徵值,則下列何者也是 A 的特徵值? (A) - 3 (B) - 1 (C) 3 (D) 6
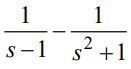
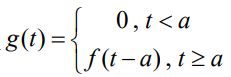
20. 若 L { f (t )}=F(s )為函數 f 的拉普拉斯變換,且 ,則 L {g (t)}=? (A) (B) (C) F(s-a) (D) F(s+a)