阿摩線上測驗
登入
首頁
>
程式設計
> 110年 - 110 身心障礙特種考試_四等_資訊處理:程式設計概要#98184
110年 - 110 身心障礙特種考試_四等_資訊處理:程式設計概要#98184
科目:
程式設計 |
年份:
110年 |
選擇題數:
0 |
申論題數:
4
試卷資訊
所屬科目:
程式設計
選擇題 (0)
申論題 (4)
一、如下的 Python 程式,執行結果為何?
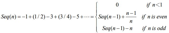
二、請使用 C,C++,C#,Java 或 Python 程式語言,迴圈及遞迴方式撰寫相關程式模組,可以求解如下的數列資料值。
三、請使用標記式語言 HTML,撰寫相關程式,可以顯示如下以表格形式呈現
表單的網頁,假設:(25 分)
ο網頁的標題為"Table + Form"
ο表單表格及較大字型的"報名表",皆置中於網頁
ο表單透過 URL 來傳送資料
ο表單要傳送至的網址為 http://iii.jjj.com/webPage.php
ο隊名資料的長度需限定為 20,變數名為"groupName"
ο參與人數使用大小為 3 的下拉選單,作 2,3,4 人的選取,預設在 3 人的
選項上,變數名為"numberMember"
ο單選項按鈕自行定義變數名,預設在"否"及"無"上
ο表單送出及表單還原到預設值,兩個按鈕分別使用 send.jpg, default.jpg
兩個圖片來取代文字按鈕,按鈕圖形寬為 50 pixels,高為 30 pixels
四、如下的 Python method,分別使用 PQ1(-171)、PQ1(271)、PQ1(-371)、 PQ1(471)進行呼叫,請問執行的結果為何?
相關試卷
114年 - 114 地方政府公務特種考試_四等_資訊處理:程式設計概要#134763
114年 · #134763
114年 - 114 專技高考_資訊技師:程式設計#133686
114年 · #133686
114年 - 114 普通考試_資訊處理:程式設計概要#128722
114年 · #128722
114年 - 114 關務特種考試_四等_資訊處理(選試英文):程式設計概要#126658
114年 · #126658
114年 - 114 身心障礙特種考試_四等_資訊處理:程式設計概要#126591
114年 · #126591
113年 - 113 地方政府公務、離島地區公務特種考試_四等_資訊處理:程式設計概要#124356
113年 · #124356
113年 - 113 專技高考_資訊技師:程式設計#123958
113年 · #123958
113年 - 113 普通考試_資訊處理:程式設計概要#121162
113年 · #121162
113年 - 113 關務特種考試_四等_資訊處理(選試英文):程式設計概要#119478
113年 · #119478
112年 - 112 地方政府特種考試_四等_資訊處理:程式設計概要#118364
112年 · #118364