阿摩線上測驗
登入
首頁
>
密封放射性物質
> 110年 - 110 關務特種考試_三等_輻射安全技術工程:密封放射性物質(包括非密封放射性物質)#99201
110年 - 110 關務特種考試_三等_輻射安全技術工程:密封放射性物質(包括非密封放射性物質)#99201
科目:
密封放射性物質 |
年份:
110年 |
選擇題數:
0 |
申論題數:
4
試卷資訊
所屬科目:
密封放射性物質
選擇題 (0)
申論題 (4)
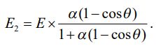
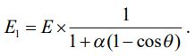
一、醫療或工業用 X-光機產生的光子與物質發生物理碰撞有許多的物理機 制。康普敦散射碰撞(Compton scatter collision)是其中之一。如果入射光 子攜帶能量 E 與物質的電子產生碰撞,康普敦散射的理論計算會得到散 射的光子會攜帶能量 E
1
,
物質的回跳電子(recoiled electron)會獲得動能(kinetic energy)E
2
,
公式中α= E / 0.511。0.511(MeV)是電子的靜止能量(rest energy)。請計算入射光子攜帶能量 E 5.11 MeV 的狀況時,回跳電子的最大動能與散射光子的最小能量會是多少 MeV?
二、在臨床醫院的核子醫學科利用標定的放射藥物來幫病人造影服務。 Tc-99m 是骨頭造影(bone scanning)常見的核醫放射藥物。Tc-99m 可經 由下面的 99 Mo 原子核衰變系列(nuclear decay series)得到 99 Mo half-life 66.7 hours 99m Tc half-life 6.03 hours 99 Tc. 請假設這是 99 Mo 唯一(100%)的衰變方式。醫院在週一下午 2 點從加速 器得到放射活度為 150 mCi 的 99 Mo ,在週三早上 10 點將 99m Tc 分離且使 用完畢。請問同一天週三下午 2 點還可以得到(milk)多少活度的 99m Tc ? (25 分) 代號:11070 頁次:2-2
三、從出土的埃及木乃伊(mummy)或恐龍化石(dinosaur fossil)來估計埃及 木乃伊或恐龍的年代的技術中,碳-14(Carbon-14)同位素的年代標定技 術(dating)是常用的標準技術方法。碳-14 的半衰期(half-life)大約是 5730 年。如果假設目前活體人類骨頭的 carbon-14/carbon-12 比例經過量測是 1.0 R(R 是某種儀器量測的物理量單位)。考古學家在非洲發現一 批埃及木乃伊的完整化石。經過相同的檢定技術發現這批木乃伊化石的 carbon-14/carbon-12 比例是 0.58 R。請問這些埃及木乃伊大約是多少年前 被製做成木乃伊的?(25 分)
四、質量轉移係數(mass energy transfer coefficient)與質量吸收係數(mass energy absorption coefficient)在輻射劑量的計算與輻射防護是重要的關鍵 物理量。下列表格式是不同能量的光子進入碳(carbon)所量測的實驗數 據。請根據量測數據計算表格(1)(2)(3)(4)(5)的物理量。(25 分) 光子能量 平均轉移能量 平均吸收能量 質量衰減係數 質量轉移係數 質量吸收係數 MeV tr ab Etr Eab MeV MeV m2/kg m2/kg m2/kg 0.01 0.00865 0.00865 0.2187 (1) 0.1 0.0141 0.0141 0.01512 (2) 1.0 0.440 0.440 0.00636 (3) (4) 10.0 7.30 7.04 0.00196 (5)
相關試卷
114年 - 114 關務特種考試_三等_輻射安全技術工程(選試英文):密封放射性物質(包括非密封放射性物質)#126662
114年 · #126662
113年 - 113 關務特種考試_三等_輻射安全技術工程(選試英文):密封放射性物質(包括非密封放射性物質)#119518
113年 · #119518
112年 - 112 關務特種考試_三等_輻射安全技術工程:密封放射性物質(包括非密封放射性物質)#113927
112年 · #113927
111年 - 111 關務特種考試_三等_輻射安全技術工程:密封放射性物質(包括非密封放射性物質)#107571
111年 · #107571
110年 - 110 關務特種考試_三等_輻射安全技術工程:密封放射性物質(包括非密封放射性物質)#98254
110年 · #98254
109年 - 109 關務特種考試_三等_輻射安全技術工程:密封放射性物質(包括非密封放射性物質)#86463
109年 · #86463
108年 - 108 關務特種考試_三等_輻射安全技術工程:密封放射性物質(包括非密封放射性物質)#75768
108年 · #75768
107年 - 107 關務特種考試_三等_輻射安全技術工程:密封放射性物質(包括非密封放射性物質)#68791
107年 · #68791
106年 - 106 關務特種考試_三等_輻射安全技術工程:密封放射性物質(包括非密封放射性物質)#61336
106年 · #61336
105年 - 105 關務特種考試_三等_輻射安全技術工程:密封放射性物質(包括非密封放射性物質)#50006
105年 · #50006