所屬科目:高考◆氣候學
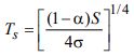
(一)無大氣情況下,地表溫度為 。 (10 分)
(二)單層大氣(假設大氣對短波輻射透明,但對長波輻射不透明)情況下,地表溫度為 。(10 分) [註: σ 為史蒂芬-波茲曼常數,α 為地球返照率, S 為太陽常數。]