所屬科目:技檢◆機電整合-乙級
6. 有一個有效斷面積 10mm2 之電磁閥,其入口、出口壓力分別為 6 kgf/cm2 與 2.5kgf/cm2,則通過 該閥的流量約為多少?(A)780(B)704(C)680(D)880。
7. 下列每一個圖之左邊為主動件,右邊為從動件。何者為旋轉運動轉成搖擺運動? (A) (B) (C) (D)
11. 如下圖純氣壓迴路在系統啟動後,僅切換閥件 C 系統會有(A)單一切換有效、連續切換無效之運轉 功能(B)單一切換無效、連續切換有效之運轉功能(C)單一或連續不同模式互切無效之運轉功能(D)單 一或連續不同模式互切有效之運轉功能。
13. 下列各氣壓迴路圖,何者可得左圖之訊號 (A) (B) (C) (D)
21. 如下圖為高鐵車站某一部乘客使用之油壓電梯的機械結構圖,其電梯箱重量 W1 =1000kgf、移動 距離 S=6m、平均移動時間 t=10sec、承載重量 W2 =1625kgf;若油壓缸之規格為 140×60,容積 效率 1.0,則供給油壓缸的流量 Q 為多少 /min 即足夠?(A)292(B)277(C)307(D)322。
24. 下圖為一台以油壓缸(150×100×5000)透過鋼索驅動之電梯(W=5000 kgf),若電梯箱上升移 動速度為 6 m/min,則油壓缸的出力約為多少 kgf?(A)15000(B)20000(C)5000(D)10000。
25. 若有一熱敏電阻的電阻與溫度關係為 RT=50+5T,其中 RT 為熱敏電阻的電阻值(單位 Ω),T 為溫度(單位℃)。下圖中,若 Vo 電壓為 3 伏特,此時溫度應為(A)20 ℃(B)40℃(C)30℃(D)50℃。
26. 下圖將黑色工件「裝入」的動作,是使用(A)滑下裝入(B)推出裝入(C)挾持裝入(D)落下裝入。
37. 如下圖所示 X3 接點,一般應使用何指令?(A)AND (B)LD (C)OR(D)無法書寫。
44. 一部單軸螺桿滑台用 DC 直流馬達驅動,使滑台做往復之直線運動,若馬達轉速 =1440 rpm、 螺桿所需轉矩 =2 N-m、馬達與螺桿間減速機之減速比 i=25、傳動效率=73%,則馬達所需轉 矩 Tm =(A)0.08 N-m(B)50 N-m(C)68.5 N-m(D)0.11 N-m。
52. 下列何者以夾爪挾持後,當外力可克服工件與治具之間摩擦力,工件仍有 4 個自由度? (A) (B) (C) (D)
56. 民眾焚香燒紙錢常會產生那些空氣污染物增加罹癌的機率:A.苯、B.細懸浮微粒()、C.二氧 化碳(CO2)、D.甲烷(CH4)?(A)AC(B)BC(C)AB(D)CD
58. 如下圖為一附緩衝器之線性驅動單元。1 為氣壓缸活塞桿,2 為固定支配板,3 為螺紋檔塊,4 為 緩衝器,5 為氣壓缸。若氣壓缸做前後運動時,無法到達正確的端點,應調整什麼位置較為迅速?(A)1 或 2(B)2 和 3(C)4 和 5(D)3 或 4。
複選題:61. 如下圖所示,為伺服馬達驅動滑台機構圖,減速比 i=5、螺桿導程 L=8 ㎜、伺服馬達分解能 Pt=131072 pulse/rev、電子齒輪比 ,如欲每輸出 1 pulse 滑台要有 2.0μm 移動量,若控制脈波頻率 f,滑台的移動速度 V =30 cm/sec,下列敘述哪些正確?(A) (B) (C)f=150k pps(Hz)(D)f=200k pps(Hz)。
63. 有一單桿雙動氣壓缸在摩擦係數為 0.15 的水平面移動 100 kgf 的物體,移動的距離為 300 mm, 移動時間為 1 秒,1 分鐘做 20 次循環,工作壓力為 6 kgf/cm2。若以 20%與 80%的移動時間做等 加速度與等速度(如下圖所示),下列敘述哪些正確?(A)最大負載:32 kgf(B)最大負載:27 kgf(C)行 程末端的衝擊能量:63.6 kgf-cm(D)行程末端的衝擊能量:56.7 kgf-cm。
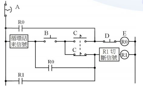
64. 如下圖所示,各元件之名稱,下列敘述哪些正確?(A)D 為啟動元件(B)A 為緊急停止元件(C)B 為停 止元件(D)C 為運轉模式切換元件。
66. 如下圖所示,各閥件之名稱敘述哪些正確?(A)C 為運轉模式切換鈕(B)A 為緊急停止鈕(C)B 為停止鈕(D)D 為啟動鈕。
80. 下列氣壓元件可在正負壓下操作且功能正常的為 (A) (B) (C) (D)