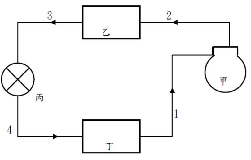
狀態1→2壓縮,2→3凝結,
3→4膨脹,4→1蒸發。利用冷媒發出50KW冷凍容量,其操作凝結溫度為35°C,而蒸發溫度為-10℃。本題中h1值為在-10℃的飽和蒸氣焓,即401.6kJ/kg,對應於35℃的飽和壓力,h2之凝結壓力為1354KPa,而h2值為435.2kJ/kg。h3與h4值相同,且都等於35℃的飽和液體焓為243.1kJ/kg即h1=401.6kJ/kg,h2=435.2k/kg,
h
3=h
4=243.1kJ/kg 則以千焦耳每公斤為單位的冷凍效應為:

(A)138.2kJ/kg (B)158.5kJ/kg(C)133.6kJ/kg (D)192.1kJ/kg