所屬科目:一二三等大管輪◆輪機工程與主機
4. SI制的力單位-"牛頓"如何定義? (A) E=mc2(B)(C)U=mgh (D)F=ma
5. 簡諧運動可用時間的正弦或餘弦函數表示。下列何者為簡諧運動之一方程式?(x:於 直徑上投影的長度;X:旋轉之向量長度; ω:等角速度;t:時間) (A)(B)(C) (D)
13. 為了避免掃氣溫度過低,空氣中水份和燃氣結合,形成低溫腐蝕,掃氣溫度應該多少為適當? (A) 掃氣溫度高於機艙溫度0~1℃(B)掃氣溫度高於機艙溫度2~3℃ (C)掃氣溫度低於機艙溫度0~1℃ (D)掃氣溫度低於機艙溫度2~3℃
15. 根據圖3所示船舶阻力變化時主機與螺槳之配合變化關係,船舶自正常航行(曲線1)改變為阻力增加之狀況時,以下哪項敘述為錯誤 ?(A)此時若主機燃油開度不變,則可能變 為超轉矩運轉狀況 (B)此時若要維持主機原轉速,而增加燃油開度,則可能變為超轉矩 且超功率之運轉狀況 (C)此時若降低燃油開度,則主機將會在部分負荷速度曲線2上 ,但須確保工作點在b之左方才安全 (D)此時若降低燃油開度,則主機將會在部分負荷 速度曲線2上,但須確保工作點在b以下才安全
23. 某標準蒸氣壓縮循環 , 係數應為:(A)6.02 (B)5.47 (C)4.72 (D)3.91
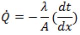
26. 一厚度為dx,表面積為A之薄板,一側之溫度為t,另一側溫度為(t+dt),λ為材料之導熱度,按傅利葉定律所述,沿熱流方向x之熱傳遞率具有下述何種關係? (A)(B)(C)(D)
27. 就水而言,在1大氣壓, 100℃以上時成為水蒸氣,在0℃以下時就會變成冰。試問在2大氣壓時,水的沸點昇到幾℃? (A)110℃ (B)120℃(C)130℃(D)140℃
28. 在大氣壓力下把純鐵加熱到大約多少℃時會熔解? (A)1220 (B)1345 (C)1450 (D)1530
34. 油性是用潤滑狀態為邊界潤滑(最小油膜厚度約10-4~10-5mm)時的邊界摩擦係數(又稱靜止摩擦係數),以下列何式表示之? (A)(B)(C)(D)
46. 若h表示工作流體之焓,在朗肯循環之溫度-熵圖中,下列何項為渦輪機之輸出功(A)h1-h2 (B)h1-h5 (C)h2-h3 (D)h4-h3
47. 在標準蒸汽壓縮循環中,2至3為何種過程? (A)可逆絕熱壓縮 (B)等壓排熱 (C)不可逆等焓膨脹 (D)等壓加熱