所屬科目:研究所、轉學考(插大)-微積分
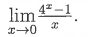
(a) (5%)
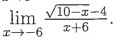
(b) (5%)
2. (10%) Compute the integral
3. (10%) Compute the integral
4. (10%) Compute the integral.
5. (10%) Compute the integral
6. (10%) Find the slope of the tangent line to the graph of y2(x2 + y2) = x2 at the point .
(a) (5%) Find when (x, y) = (0, 1).
(b) (5%) Find when (s,t) =(0,0).
(a) (5%) Let be a sequence dofined by an = .
(b) (5%) Use the Integral Test to determine whether the series is convergent or divergent?
10. (10%) Use Lagrange multipliers to find the extreme values ofsubject to the constraint x2+ y2 = 1.