所屬科目:研究所、轉學考(插大)-微積分
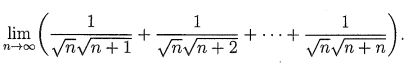
1. Evaluate Answer : __________
2. Find the volume of the smaller region cut from the solid sphere p ≤ 2 by the plane z = 1. Answer :_________
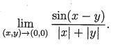
3. Evaluate Answer :___________
4. Evlate the iterated integral sin(y2)dydx. Answer :_______
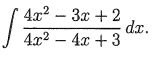
6. Suppose that F(x) is an antiderivative of dx in terms of F. Answer : ____________
1. Find the Taylor polynomials of orders 2 generated by f(x) at a=0
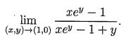
2. Let a and b be constants with 0 < a < b. Does the sequence converge? If it does converge, what is the limit?
a. (6分)
b.(6分)