所屬科目:研究所、轉學考(插大)-微積分
1. Find the slope of the tangent line to the graph of f(x) = at the point (e,e).
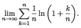
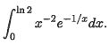
2. Find the limit
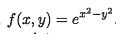
3. Find the volume of the solid bounded above by the surface z = f(x,y) = and below by the plane region R, where R is the triangle with vertices (0,0), (1,0), and (0,1).
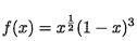
4. Find the maximum value of on the closed interval [0, 1].
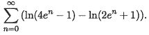
5. Find the limit
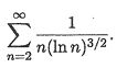
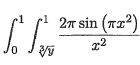
6. Evaluate the integral
7. The production for a certain country in the early years following World War II is described by the function f(x, y) =units, when ; units of labor and y units of capital were utilized. Find the approximate change in output if the amount expended on labor had been decreased from 125 units to 123 units and the amount expended on capital had been increased from 27 to 29 units.
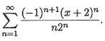
8. Find the radius of convergence of the power series
(a)(6分)
(b)(6分)
2. Find the critical point(s) of the function. Then use the second derivative test to classify the nature of the point.
3. Sketch the region of integration and evaluate the integral dxdy.