所屬科目:研究所、轉學考(插大)◆冷凍空調原理
(一) 請說明有哪四種來源。(8%)
(二) 分別對該四種來源,各別舉出2種可以減少空調負荷之作法(共8種)。(16%)
(一) 請說明何謂全空氣系統? (3%)
(二) 對典型單區(single zone)空調空氣系統,請繪出一空氣線簡圖,標出從回風直至送風各主要狀態點和其對應之空氣調節過程。(6%)
(三) 承(二),請說明何謂「負載比線(load-ratio line)」。(5%)
(四) 承(二),請說明如何決定冷氣送風條件和送風風量。(6%)
(一) 入口與出口空氣各別之濕度比。(4%)
(二) 該盤管之冷卻除溼能力。(10%)
(一) 該8個狀態點之焓值。(8%)
(二) 高壓段與低壓段各別之冷媒質流率。(8%)
(三) 此冷凍循環之性能係數(COP)。(10%)
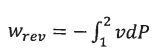
(一) 請說明何謂「等熵」過程。(6%)
(二) 請證明,在動能和位能可忽略之情形下,可逆穩流功(steady-flow work)為(v為比容、P為壓力) (10%)