阿摩線上測驗
登入
首頁
>
計算機數學
> 111年 - 111 專技高考_資訊技師:計算機數學#111929
111年 - 111 專技高考_資訊技師:計算機數學#111929
科目:
計算機數學 |
年份:
111年 |
選擇題數:
0 |
申論題數:
13
試卷資訊
所屬科目:
計算機數學
選擇題 (0)
申論題 (13)
(一)(p⋀q→p)(6 分)
(二)( ¬q⋁(p→q)) →¬p(6 分)
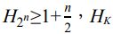
二、用數學歸納法證明下列公式。
定義如下
三、圖形 G =(V,E)是一沒有自迴圈(self loop)的無向圖(undirected graph) , 證明若每個節點的連接數(degree)是至少|V | / 2,則圖形 G 為一連接圖 (connected graph) 。(10 分)
四、一袋子中有 12 個非公正的銅板(biased coins),其中 6 個銅板出現正面 的機率是 3/5,另外 6 個銅板出現正面的機率為 1/3,若由袋子中隨機取 一個銅板,並丟擲此一銅板,此銅板結果出現正面;請問此銅板出現正面機率是 3/5 銅板的機率為多少?(12 分)
五、使用遞迴定義(recursive definition)表示 0 和 1 出現次數相同的全部二元字串(bit strings)。(10 分)
六、若 G =(V,E)是一加權無向連接圖(undirected weighed connected graph) , 且各邊的權重均不相等,則其最小生成樹(minimum spanning tree)是否唯一?如不是請舉一反例,如是請說明原因。(10 分)
七、若已知 100 人進行智力測驗,平均成績為 100 分、標準差為 15 分,請問隨機挑選 100 人進行智力測驗,平均成績超過 115 分發生的機會是很高、 一般、或很低?請說明原因。答案只需列出計算式,不用算最後結果。 (12 分)
(一)P(X=Y)(4 分)
(二)P(XY)=6(4 分)
(三)P(1≤X≤2 , 2<Y≤4)(4 分)
(一)計算E[W]?(5 分)
(二)計算Var[W]?(5 分)
相關試卷
114年 - 114 專技高考_資訊技師:計算機數學#133718
114年 · #133718
113年 - 113 專技高考_資訊技師:計算機數學#123934
113年 · #123934
112年 - 112 專技高考_資訊技師:計算機數學#117661
112年 · #117661
110年 - 110 專技高考_資訊技師:計算機數學#104224
110年 · #104224
109年 - 109 專技高考_資訊技師:計算機數學#93316
109年 · #93316
108年 - 108 專技高考_資訊技師:計算機數學#80856
108年 · #80856
108年 - 108 一般警察特種考試_二等_刑事警察人員犯罪分析組:計算機數學(包括離散數學、機率與統計)#77048
108年 · #77048
107年 - 107 專技高考_資訊技師:計算機數學#73027
107年 · #73027
107年 - 107 一般警察特種考試_二等_刑事警察人員犯罪分析組:計算機數學(包括離散數學、機率與統計)#69662
107年 · #69662
106年 - 106 專技高考_資訊技師:計算機數學#66579
106年 · #66579