所屬科目:技師◆計畫分析方法
一、下表為某規劃範圍內各行政分區之面積以及從民國 85 年至民國 105 年 之人口數,下圖為該規劃範圍各行政分區區位示意圖。請就現有之資料 做資料處理,分析及預測該規劃範圍之人口特性。(25 分)
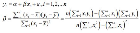
四、下表為某都市某產業的產業規模,假設該產業在近年的成長趨勢為直線 成長,請以最小平方法(計算公式提示如下)求出產業規模與年份的迴 歸方程式,並計算此迴歸方程式在第 4 年的殘差值,以及預測第 5 年的 產業規模。(25 分)