所屬科目:國際經濟學
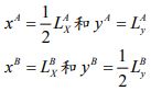
一、假設 A 國與 B 國都利用勞動生產 x 與 y 兩種商品,生產技術如下:其中 x 與 y 分別為兩種財貨的產量, LX 與 Ly 分別為 x 部門和 y 部門的勞 動使用量,上標 A 和 B 則分別代表 A 國和 B 國。勞動是同質的,兩國 都沒有失業問題與移民問題。若兩國都擁有 100 單位的勞動力,請討論 這兩國的生產可能曲線,並進一步分析可能的貿易條件區間以及貿易後 的生產型態與貿易方向。(25 分)
二、根據財政部統計資料庫,2017-2021年間我國與美國在植物產品的進出口 資料如下表,單位為千美元。 根據上表資料,我國與美國在植物產品的貿易具有何種特質?為何會發生 這種貿易現象,這類型的貿易如何產生貿易利得?對一國福利有何影響? (25 分)