阿摩線上測驗
登入
首頁
>
資料處理
> 111年 - 111 民航特種考試_三等_飛航諮詢:資料處理#110657
111年 - 111 民航特種考試_三等_飛航諮詢:資料處理#110657
科目:
資料處理 |
年份:
111年 |
選擇題數:
0 |
申論題數:
4
試卷資訊
所屬科目:
資料處理
選擇題 (0)
申論題 (4)
一、在電子商務的服務提供者中,依其服務內容可概略區分為 ISP(Internet Service Provider)、ICP(Internet Content Provider)、ASP(Application Service Provider)等三大類,請分別解釋此三大類並舉實例說明。 (25 分)
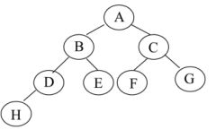
二、下圖為二元樹,請寫出其中序、前序以及後序追蹤的結果。 (25 分)
三、請以二進制的表示方法進行
的運算,結果請以二進制的方式表示。 (25 分)
四、假設你是一個機構的 Database 管理員,管理的 Database 是 SQL-oriented, 例如:Oracle、MySQL 或 MSSQL,請至少列出五項日常的管理工作項目,並分別說明其工作內容。(25 分)