所屬科目:國營事業◆1.建築結構、構造與施工 2.建築環境控制
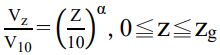
6. 風速之垂直分布依公式計算之,其中符號「Zg」代表之意義為何? (A)地況種類 (B)高度風速 (C)梯度風速 (D)梯度高度
10. 依混凝土結構設計規範,混凝土規定抗壓強度為混凝土28日齡期之試驗極限強度,預力混凝土之 不得小於多少kgf/cm2 ? (A) 175 (B) 210 (C) 245 (D) 280
13. 依建築物耐震設計規範及解說, 有關結構系統之韌性容量R值, 如下圖所示,下列何者正確? (A) ∆u / ∆y (B) ∆u / Pu (C) Pu / Δu (D)斜線面積
14. 如下圖所示,有關鋼骨斷面肢材寬厚比,下列何者正確? (A) b / tf (B) 2b / hc (C) 2b / tf (D) tf / tw
15. 如下圖所示之桁架,受一水平力P,請問共有幾根桿件為零力桿? (A) 0 (B) 1 (C) 2 (D) 3
16. 如圖所示①~④梁結構中,請問梁中央所承受彎矩大小關係之敘述,下列何者正確? (A) ①>②>③>④ (B) ①=②>③=④ (C) ②>①>④>③ (D) ②>①=④>③
17. 如下圖所示,構架A端固定,BD段承受5 kN/m的垂直均佈載重,請問彎矩圖(單位kN-m)何者正確? (A) (B) (C) (D)
18. 如下圖所示,AB梁與BC梁鉸接在一起,請問A點之彎矩為多少? (A) 2WL2 / 9 (B) 3WL2 / 8 (C) 4WL2 / 7 (D) 5WL2 / 6
19. 如下圖所示構架,請問B點之垂直反力為多少? (A) 3P/4 (B) 4P/5 (C) 6P/7 (D) 8P/9
22. 預力梁為在梁斷面以鋼鍵施加軸壓力之工法,有關後拉預力梁預留鋼鍵管位置,下列何者為最佳配置? (A) (B) (C) (D)