所屬科目:北水◆電腦概論
1.下列何種電腦通常沒有配置螢幕,會放在電腦機房裡面使用?(A)桌上型電腦 (B)筆記型電腦 (C)伺服器等級電腦 (D)工業用電腦
2.有關 GPU(Graphic Processing Unit)和 CPU(Central Processing Unit)的敘述,下列何者錯誤?(A) GPU 是一種特殊類型的處理器,具有數百或數千個核心,經過最佳化,可並列執行大量計算(B) CPU 適合的工作類型非常多,其中包括一般計算和資料庫運行(C) GPU 無法滿足處理大量資料與高速數據的需求(D) CPU 和 GPU 都是用矽晶打造的微處理器
3.下列何種記憶體的讀寫速度最快?(A) ROM (B) DRAM (C) SRAM (D) SDRAM
4.下列何種 app 不需要用到 GPS (Global Positioning System)?(A)台北等公車 (B)測速照相點 (C)地圖 (D)台鐵 e 訂通
5.目前市面上已商用化的最快行動通訊系統為何?(A) 3G (B) 4G (C) 5G (D) 6G
6.有關 Android 作業系統的敘述,下列何者正確?(A)以 Linux 為基礎所開發的作業系統 (B)為 iPad 的作業系統(C)由微軟公司開發 (D)版本更新需要付費
7.下列何社群網站沒有粉絲專頁的功能?(A) Facebook (B) YouTube (C) Instagram (D) Twitter
8.下列何者非屬全球資訊網的搜尋引擎?(A) Google Search (B) Microsoft Bing (C) Yahoo! Search (D) Brave
9.在手機、平板、電腦上都可以順利操作的網頁設計,稱為下列何者?(A)響應式網頁設計(Responsive Web Design) (B)無障礙網頁設計(Accessibility Web Design)(C)互動式網頁設計(Interactive Web Design) (D)使用者介面設計(User Interface Design)
10.下列何種網路是透過無線的方式連結?(A) WiFi (B) USB(C) FTTF (Fiber to the Home) (D) Cable TV
11.下列何者非屬網際網路(Internet)的應用(Applications)?(A)全球資訊網(World Wide Web, WWW) (B)電子郵件(E-mail)(C)電話簡訊(SMS) (D)即時通訊軟體(LINE)
12.下列何種雲端服務要透過撰寫程式的方式來使用?(A)基礎架構即服務(Infrastructure as a Service, IaaS)(B)平台即服務(Platform as a Service, PaaS)(C)軟體即服務(Software as a Service, SaaS)(D)資料即服務(Data as a Service, DaaS)
13.下列何者非屬雲端硬碟?(A) Google Drive (B) Hard Drive (C) Dropbox (D) OneDrive
14.下列何者非屬 Microsoft Word 插入圖片的來源?(A)本裝置 (B)影像庫 (C)線上圖片 (D)資料庫
15. Microsoft Excel 不提供下列何種圖表?(A)樞紐分析圖(Pivot Analysis Chart) (B)區域分佈圖(Regional distribution map)(C)雷達圖(Radar Chart) (D)星狀圖(Aster Plot)
16.下列何者為電腦視覺(Computer Vision)的應用?(A)車牌辨識 (B)聊天機器人 (C)翻譯 (D)語音辨識
17.下列何者非屬語音助理?(A) Apple Siri (B) Amazon Alex (C) Google Play (D) Microsoft Cortana
18.提供對外服務的網頁伺服器應該放在防火牆(Firewall)的何種區域(Zone)?(A)非軍事區(Demilitarized Zone, DMZ) (B)內網區(Private LAN Zone)(C)外網區(Public Internet Zone) (D)軍事區(Militarized Zone)
19.下列何者非屬一次性密碼(One-Time Password, OTP)的特性?(A)每次使用之密碼不同(B)密碼透過文字、數字、特殊符號組合而成(C)使用者登入前可透過簡訊,取得本次登入之密碼(D)使用者登入前可透過電子郵件,取得本次登入之密碼
20.使用者一旦感染了下列何種類型的電腦病毒,駭客可以利用數以萬計的「殭屍」傳送大量偽造封包或者是垃圾封包對預定目標進行阻斷服務攻擊,造成被攻擊目標癱瘓? (A)檔案型病毒 (B)木馬程式 (C)巨集病毒 (D)蠕蟲病毒
21.下列何者為我國現行的個資法規範?(A)個人資料管理系統(BS-10012 Personal Information Management System, PIMS)(B)個人資料保護法(Personal Information Protection Act)(C)電腦處理個人資料保護法(Computer-processed Data Protection Act)(D)一般個人資料保護規則(General Data Protection Regulation, GDPR)
22.下列何者為資訊安全管理系統(Information Security Management System, ISMS)的標準?(A) ISO-27001 (B) ISO-9000 (C) ISO-14000 (D) ISO-20000
23.網頁是由下列何種程式碼撰寫而成?(A) Hyper Text Markup Language (HTML) (B) eXtensible Markup Language (XML)(C) Generalized Markup Language (GML) (D) Web Ontology Language (OWL)
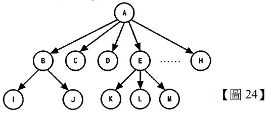
24.如【圖 24】所示的樹狀結構中,有關「兄弟節點」(Siblings)的敘述,下列何者正確?(A) I、J 和 K 是兄弟節點(B) B、C 和 K 是兄弟節點(C) A、B 和 E 是兄弟節點(D) K、L 和 M 是兄弟節點
25.在電子商務交易中,下列何者為由消費者對消費者的交易型態?(A) B2B (B) B2C (C) C2C (D) P2P