所屬科目:研究所、轉學考(插大)◆普通物理學
1. A toy moves with constant speed around a circle. The radius of the circle R=3 m. When the toy is at point A, its velocity is 6 m/s î. When it is at point B, what is its acceleration (vector)?
2. Block A of mass mA =2 kg is on block B of mass mB =5 kg. The lower block is on a frictionless surface while the coefficient of static friction μs =0.25 between the two blocks. If they are moving together at constant velocity, v=5 m/s, what is the frictional force between A and B?
3. A particle starts from rest (v = 0) at time t = 0 and moves along the x axis. If the net force on it is proportional to t, its kinetic energy will be proportional to tn. What is the value of n?
4. A thin rod of length a varies in its composition in such a manner that its linear mass density is λ(x) = cx, where x is the distance from one end. Locate the position of center of mass (CM) relative to x=0.
5. Two blocks of masses m and 2m are held against a massless compressed spring within a box of mass 3m and length 4L whose center is at x=0. All surfaces are frictionless. After the blocks are released, they are each at a distance L from the ends of the box when they lose contact with the spring. Both blocks keeps moving until they collide with the box and stick to it. Find the distance of the center of the box moves from x=0 after both blocks stick to the box.
6. A lawn roller is a solid cylinder of mass M, radius R, and rotational inertia I=MR²/2. It is pulled at its center by a horizontal force of magnitude F and rolls without slipping on a horizontal surface. Find the acceleration of the cylinder.
7. A block of mass m is attached to a vertical spring via a string that hangs over a pulley of mass M and radius R. The rotational inertia of the pulley I=MR²/2. The string does not slip. Find the angular frequency (ω) of the simple harmonic motion.
8. The wave function of a wave is: y(x, t) = 0.3sin(0.4x + 40t + 0.6) where x and y are in centimeters (cm) and t is in second (s). Find the wave velocity.
9. Two small charged objects repel each other with a force F when separated by a distance d. If the charge on each object is reduced to one-fourth of its original value and the distance between them is reduced to d/2, the force becomes:________.
10. A conducting sphere of radius 0.01 m has a charge of 1.0 × 10⁻⁹ C deposited on it. The magnitude of the electric field in N/C just outside the surface of the sphere is:
11. The two charges Q are fixed at the vertices of an equilateral triangle. If k = 1/(4πε₀), the work required to move q from the other vertex to the center of the line joining the fixed charges is:________.
12. Two conductors are made of the same material and have the same length. Conductor A is a solid wire of diameter 1 mm. Conductor B is a hollow tube of inside diameter 1 mm and outside diameter 2 mm. The ratio of their resistance, RA/RB, is:________.
13. A rod with resistance R lies across frictionless conducting rails in a uniform magnetic field B, as shown. Assume the rails have negligible resistance. The force that must be applied by a person to pull the rod to the right at constant speed v is:________.
14. When the switch S in the circuit shown is closed, the time constant for the growth of current in R₂ is:_______.
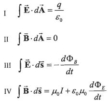
15. Consider the four Maxwell equations: Which of these equations would have to be modified if magnetic poles were discovered:_______?
16. A spectral line of a certain quasar is observed to be "red shifted" from a wavelength of 500 nm to a wavelength of 1500 nm. Interpreting this as a Doppler effect, the speed of recession of this quasar is: ________ C (C is the light speed).
(a) The temperature changes from T₁ to T₂ at constant volume.
(b) The volume changes from V₁ to V₂ at constant temperature.
(a) What is the γ factor for an electron with total energy 20.0 GeV?
(b) Find the wavelength of the electron.