阿摩線上測驗
登入
首頁
>
環境化學
> 111年 - 111 高等考試_三級_化學安全:環境化學(含分析化學)#109584
111年 - 111 高等考試_三級_化學安全:環境化學(含分析化學)#109584
科目:
環境化學 |
年份:
111年 |
選擇題數:
0 |
申論題數:
10
試卷資訊
所屬科目:
環境化學
選擇題 (0)
申論題 (10)
(一)寫出平流層臭氧產生之反應並說明氟氯碳化物(chloroflourocarbons) 對臭氧層造成破壞之化學原理。
(二)說明對流層臭氧如何產生?寫出其相關生成反應。
(一)說明抓樣(grab sample)與混樣(composite sample)之差異為何?那些分析項目不適合混樣檢測?
(二)該樣本之平均濃度與標準偏差分別為多少?
(三)此分析數據之 95%信賴區間範圍為何?
(一)請寫出並解釋該定律並說明其限制。
(二)說明如何應用比爾定律進行定量分析。
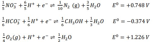
(一)此系統脫硝(denitrification)反應之全反應為何?其標準電位為何?
(二)試由熱力學原理判斷此脫硝反應於標準狀態下是否為一自發性之反應? 其反應之自由能(Gibbs free energy)為多少 kJ/mol? (已知 F = 96500 C/mol) 。
(三)量測此系統之水質特性發現其 pH = 7 以及
= 753.5 mV,估計其溶氧為多少?(已知氧氣之亨利常數值為 1.32×
M/atm)
相關試卷
114年 - 114 地方政府公務特種考試_四等_環保技術:環境化學概要#134795
114年 · #134795
114年 - 114 普通考試_環保技術、環境檢驗:環境化學概要#128764
114年 · #128764
114年 - 114 高等考試_三級_化學安全:環境化學#128755
114年 · #128755
113年 - 113 地方政府公務、離島地區公務特種考試_四等_環保技術、環境檢驗:環境化學概要#124352
113年 · #124352
113年 - 113 地方政府公務、離島地區公務特種考試_四等_環保技術、環境檢驗:環境化學概要#124318
113年 · #124318
113年 - 113 高等考試_三級_化學安全:環境化學#121511
113年 · #121511
113年 - 113 普通考試_環保技術、環境檢驗:環境化學概要#121088
113年 · #121088
112年 - 112 地方政府特種考試_四等_環保技術、環境檢驗:環境化學概要#118099
112年 · #118099
112年 - 112 高等考試_三級_化學安全:環境化學(含分析化學)#115764
112年 · #115764
112年 - 112 普通考試_環保技術、環境檢驗:環境化學概要#115740
112年 · #115740