所屬科目:技檢◆機電整合-乙級
2. 有一行走樑分離機構,若主動偏心輪驅動活動式行走樑,偏心輪之偏心量為 5 ㎜,在偏心輪轉動1 圈時,則活動式行走樑上下的移動量為_____mm。(A)2.5(B)10(C)7.5(D)5
4. 有一支雙動氣壓缸(ψ25×10×200st)在操作壓力為 5 kgf/cm2 下往復一次,其消耗空氣量約為_____N。(A)1.08(B)17.9(C)10.8(D)1.79
7. 如下圖有一組油壓系統供應泵浦,B 元件是(A)卸載閥(B)溢流閥(C)小流量泵浦(D)大流量泵浦。
9. 如下圖為高鐵車站某一部乘客使用之油壓電梯的機械結構圖,其電梯箱重量 W1=1000kgf、移動距離 S=6m、移動時間 t=10sec、承載重量 W2=1625kgf,則油壓缸的平均移動速度為_____cm/sec。(A)40(B)30(C)50(D)60
10. 溫室氣體排放量:指自排放源排出之各種溫室氣體量乘以各該物質溫暖化潛勢所得之合計量,以_____當量表示。(A)甲烷(CH4)(B)六氟化硫(SF6)(C)二氧化碳(CO2)(D)氧化亞氮(N2O)
13. 如下圖有一組油壓系統供應泵浦,如小泵浦輸出流量4/min、大泵浦輸出流量24/min、溢流閥設定壓力 100kgf/cm2、卸載閥設定壓力 20kgf/cm2,用來驅動一支鑽孔油壓缸(ψ63×30×200)使其有一半行程為快速移動、另一半慢速移動,則油壓缸快速移動的速度為_____m/min。(A)8.99(B)8.54(C)1.28(D)1.22
14. 有一單軸螺桿滑台用 AC 伺服馬達驅動,使滑台做往復之直線運動,螺桿導程(Lp)為10㎜,實體減速機構比(i)為2,伺服馬達之分解能(Pt)為131072pulse/rev,伺服馬達最高轉速限為3200rpm,滑台控制解析度(R)1μm,若控制條件:(1) 滑台移動距離(S)為120mm (2) 滑台移動時間(ts)為2.55秒 (3) 滑台加速(ta)及停止減速(td)時間各為0.15sec,速度-時間如圖所示,則一個滑台移動距離(S)需加給伺服馬達驅動之脈波數量(Ps )應為多少(A)50000(B)60000(C)100000(D)120000。
15. 下列每一個圖之左邊為主動件,右邊為從動件。何者為左右直線運動轉成旋轉運動?(A) (B) (C) (D) 。
17. 量測機件的_____,不是使用水平儀的時機。(A)真直度(B)水平度(C)真圓度(D)鉛垂度
18. 如下圖為一個數位比較器,有二個輸入 A 與 B,三個輸出 X、Y、Z。下列何者敘述為誤?(A)當 A=B 時,X=0(B)當 A=0,B=1 時,Y=1 (C)X =A⊙B(D)當 A=1,B=0 時,Z=1。
19. PLC 的內部繼電器輸出接點一般可承受_____以下的電流。(A)2A (B)20A(C)5A(D)10A
20. 如下圖為自動鑽床的油壓迴路圖,在迴路圖中共有 4 個止回閥(A、B、C、D四處),則 D 的順向開啟壓力(cracking pressure)約為_____kgf/cm2才能使迴路正常運作又可節省能源消耗。(A)20~30(B)0.3~0.5(C)3.5~5(D)8~10
23. 標準的 RS232 是普遍被接受的標準串列,表示二進位"0"是以_____VDC 來傳送。(A)0~5(B)-3~-12(C)3~12 (D)-5~0
26. 一部單軸螺桿滑台用 DC 直流馬達驅動,使滑台做往復之直線運動,若馬達轉速 Nm=1440 rpm、螺桿導程 L=8 ㎜、行走距離 S=192 ㎜、行走時間 t=5sec,則螺桿平均轉速 Ns=_____rpm。(A)180(B)288(C)240(D)210
28. 如下圖為伺服馬達驅動旋轉轉盤機構圖,齒規皮帶組減速比 i=4、伺服馬達分解能Pt=131072pulse/rev,若脈波輸出頻率f=20k pps(Hz)、電子齒輪比 ,則旋轉轉盤之轉速 n 為_____rpm。(A)150(B)210(C)180(D)240
31. 用一個中位加壓型 5/3 閥來控制何種氣壓缸,可得最佳之中間定位效果?(A) (B) (C) (D) 。
33. 下列何者以夾爪挾持後,當外力可克服工件與治具之間摩擦力,工件仍有 5 個自由度?(A) (B) (C) (D) 。
38. 下圖為一台以油壓缸(ψ150×100×5000)透過鋼索驅動之升降梯(W=5000 kgf),若升降梯箱上升移動速度為 6 m/min ,則驅動油壓缸之壓油的壓力(不計摩擦、慣性)至少需_____kgf/cm2 以上。(A)42.75(B)85.5(C)28.5(D)57
45. 如下圖所示,有一單桿雙動氣壓缸在摩擦係數為 0.2 的水平面移動 80 kgf 的物體,移動的距離為200 mm,移動時間為 1 秒,1 分鐘做 20 次循環,工作壓力為 6 kgf/cm2。若以 30%與 70%的移動時間做等加速度與等速度(如下圖所示),則等加速度為_____cm/sec2。(A)111.1(B)23.5(C)78.4(D)22.2
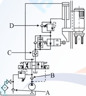
47. 如下圖有一步進馬達驅動之導螺桿式工作平台,其中馬達輸出軸與導螺桿間配有一 1:15 減速齒輪組。如工作平台之位移解析度為 0.002mm,步進馬達之步進角度為 0.72 度,則導螺桿之導程應為_____mm。(A)10(B)8(C)5(D)15
48. 人機畫面若增加一個監控馬達迴轉圈數,動作位址選擇_____為宜。(A)M1000(B)S20(C)D1000(D)X0
51. 有一感測器的規格表說明它可以量測空氣壓力的範圍為-0.8kgf/cm2 到 9.2kgf/cm2 之間,感測器有0.1kgf/cm2 的解析度,+/-0.3 kgf/cm2 的重現率,+/-0.5 kgf/cm2 的線性度。若量測的壓力是 6kgf/cm2,則實際的壓力範圍是_____kgf/cm2。(A)4.2~5.8(B)5.2~6.8(C)5.9~6.1(D)5.7~6.3
59. 機械手臂動力軸有直線型(P)及角度型(R),極座標型機械手臂是_____型機構。(A)PPP(B)PRR(C)PPR(D)RRR
60. 如下圖迴路中有兩個內阻不同之電壓計 V1 及 V2,V1 之讀數為_____V。(A)100(B)50(C)150(D)75
62. 如下圖所示,有一步進馬達驅動一組定位工作平台,此步進馬達之全步進角度為 1.8°,馬達輸出軸配有一減速比 12.5:1 之減速齒輪組,齒輪組之輸出軸接至導螺桿。若步進馬達驅動脈波頻率 f=3k pps(Hz),導螺桿每轉動 10 圈,滑台移動 50mm,下列敘述哪些正確?(A)滑台之速度 V=6 mm/sec(B)滑台之速度 V=10 mm/sec(C)螺桿之導程 L=10 mm(D)螺桿之導程 L=5 mm。
66. 如圖有一組 60Hz 馬達驅動銑床銑削傳動機構,工作床往右邊移動,則(A)馬達轉速 600rpm(B)馬達轉速 1200rpm(C)平台速度 0.8 ㎜/sec(D)平台速度 0.6 ㎜/sec。
67. 如下圖所示,有一組油壓系統供應泵浦,如 C 元件輸出流量 5 l/min、D 元件輸出流量 30 l/min、A 閥件設定壓力 100 kgf/cm2、B 閥件設定壓力 20 kgf/cm2,用來驅動一支鑽孔油壓缸(ψ63×30×200)使其有一半行程為快速移動、另一半慢速移動,下列敘述哪些正確?(A)A 為溢流閥(B)B 為卸載閥(C)快速移動流量為 35 l/min(D)快速移動流量為 30 l/min。
71. 如圖所示之繼電器電路,熱保護接點 TH-RY 未作動下,下列敘述哪些正確?(A)只壓下 O N 鈕時電磁接觸器會作動(B)壓下 OFF 鈕時電磁接觸器會停止作動或無法啟動(C)此迴路屬於啟動優先電路(D)同時壓下 ON 鈕與 OFF 鈕時電磁接觸器會作動。
73. 如下圖所示,有一雙凸輪機構,以夾爪為中心點來看,下列敘述哪些正確?(A)彈簧 C 係使從動件確保接觸凸輪 B(B)水平方向 y 是以凸輪 B 驅動(C)水平方向 y 是以凸輪 A 驅動(D)彈簧 C 係使從動件確保接觸凸輪 A。
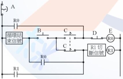
74. 如下圖所示,各閥件之名稱敘述哪些正確?(A)A為運轉模式切換(B)C為緊急停止(C)D為停止(D)B為啟動鈕。
75. 如下圖所示,在按閥件 B 啟動後,若僅切換閥件 C,系統會有下列哪些功能敘述是正確?(A)連續模式切換為單一模式無效(B)單一模式切換為連續模式有效(C)連續模式切換為單一模式有效(D)單一模式切換為連續模式無效。
78. 有一單桿雙動氣壓缸在摩擦係數為 0.15 的水平面移動 100 kgf 的物體,移動的距離為 300 mm,移動時間為 1 秒,1 分鐘做 20 次循環,工作壓力為 6 kgf/cm2。若以 20%與 80%的移動時間做等加速度與等速度(如下圖所示),下列敘述哪些正確?(A)最大負載:27 kgf(B)行程末端的衝擊能量:63.6 kgf-cm(C)最大負載:32 kgf(D)行程末端的衝擊能量:56.7 kgf-cm。