所屬科目:一二三等大管輪◆輪機工程與主機
1. 在大氣壓力下100℃之飽和水蒸發熱為多少kcal/kg? (A)329 (B)419 (C)539 (D)659
9. 由圖4所示,下列有關冷凍性能係數何者正確 ? (A)性能係數=(h2-h1)/(h1-h4)(B)性能係數=(h1-h4)/(h1-h2)(C)性能係數=(h4-h1)/(h2-h1)(D)性能係數=(h1-h4)/(h2-h1)
11. 圖1為柴油機特性曲線,圖1中,那一條曲線代表等排氣溫度限制曲線? (A)曲線6 (B)曲線5 (C)線0a (D)曲線1
13. 參見圖4,有關低轉速(n1)起航的操俥裡,以下那一項敘述不正確? (A)a點對應的為主機啟動轉速 (B)起動初期船速為零,主機與螺槳配合點沿螺槳特性曲線1上升 (C)船速升高時,螺槳特性曲線向左移 (D)船速升高時,主機與螺槳配合曲線沿曲線3右移
16. 參見圖4,有關低轉速(n1)起航的操俥裡,下列那一項敘述不正確? (A)主機與螺槳之配合點自b點向右移動時,螺槳進程比漸增 (B)主機油門手柄到b點後船舶速度自零開始上升 (C)主機油門手柄到b點後主機與螺槳之配合點沿曲線3右移 (D)轉速高過n1後,應迅速大幅降低油門格數
17. 進程比是表示螺槳運動狀態的參數,以下那一項改變會造成進程比降低? (A)啟航與加速工況 (B)船舶進入水深增加之海水水域 (C)船舶自淡水水域進入海水水域 (D)船舶吃水增加
19. 旋轉物體中I為慣性矩(moment of inertia),而ω為角速度,則其動能應為: (A)Iω (B)Iω2 (C) (D)
23. 一厚度為10mm之軟鋼水槽內裝有70℃的水,其外界空氣溫度為25℃。若軟鋼之導熱度為50W/mK,外側之熱對流係數為11W/m2k。則單位水槽面積(m2)之熱損失率應為多少kW? (A)0.495 (B)0.656 (C)0.713 (D)0.896
26. 構造用的鋼,不但要有相當高的強度,也要有較大的韌性。為了顧及韌性和硬度的要求,通常回火到多少度以上的高溫? (A)500℃ (B)400℃ (C)300℃ (D)200℃
40. 在標準蒸汽壓縮循環中,1至2為何種過程? (A)可逆絕熱壓縮 (B)等壓排熱 (C)不可逆等焓膨脹 (D)等壓加熱
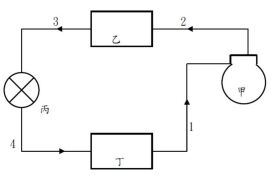
41. 冷凍機之循環圖中,若裝置丙為膨脹閥,則1至2為何種過程? (A)壓縮過程 (B)過熱回降與凝結 (C)節流降壓 (D)蒸發過程
42. 若壓縮過程中,氣體之壓力P、比容v與比熱比k之關係為=常數,則此過程為下列項 ? (A)可逆絕熱過程 (B)等溫過程 (C)等容過程 (D)等壓過程
48. 下圖為Sulzer RT-flex柴油機共軌燃油噴射系統,何者是其系統最主要的控制中心? (A)Volumetric fuel injection control unit (B)WECS 9500 control system (C)Exhaust valve actuating unit (D)Exhaust valve actuator
49. 對於固定葉距螺旋槳,其轉速與主機輸出功率有著一定的相互關係,下列公式何者代表主機轉速n及輸出功率Pe之間的『螺旋槳定律曲線』 (A) (B) (C) (D)