所屬科目:研究所、轉學考(插大)-微積分
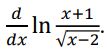
4. Differentiate (10%)
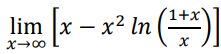
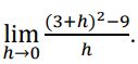
5. Evaluate. (10%)
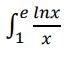
6. Find (10%)
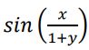
7. Evaluate . (10%)
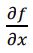
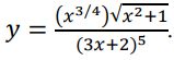
8. If f(x, y) = , calculate (5%) and (5%).
9. Evaluate dx. (10%)