所屬科目:資料處理
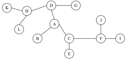
三、在人工智慧與機器學習領域,狀態空間表示一個問題的所有可能解的集合,如下圖所示。請從狀態 A 開始,以字母排序的先後順序,用兩種常用的演算法:廣度優先搜尋(Breadth-First Search, BFS)與深度優先搜尋 (Depth-First Search, DFS),分別列舉搜尋的結果。(25 分)
四、請列舉“This is a book”中間有空格的連續字串,經過下列程式執行後, 兩個 printf 的輸出內容。(25 分)