(五)承上(四),在 1 日之內發生 2 件或 2 件以上事故的機率為何?(答案不 用寫出數字,但要使用所附提示函數符號) 。(4 分) 提示:
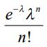
● 卜瓦松(Poisson)分布函數= p(發生次數:n, 發生次數期望值:λ)=

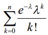
● 卜瓦松累積分布函數= Po(發生次數:n, 發生次數期望值:λ)=

●指數(exponential)分布函數= e(變數:x, 1/期望值:λ)=λe-λ
●指數(exponential)累積分布函數= E(變數:x, 1/期望值:λ)= 1-λe-λ
●二項(binomial)分布函數 b(發生次數:n, 觀察次數:N,發生機率:p)=
●二項累積分布函數 B(發生次數:n, 觀察次數:N, 發生機率:p)=

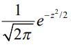
●標準常態(normal)分布函數 n( z ) =
●標準常態累積分布函數 N ( z ) =
