所屬科目:電子學
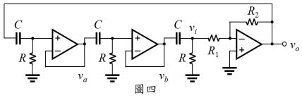
一、圖一(a)電晶體操作在主動區,熱能電壓(thermal equivalent voltage) VT = 25 mV,VBE = 0.7 V,β = 39,ro→ ∞,VS = 7.5 V,Ra = 0.8 kΩ, RL = 100 Ω。Zener 二極體之特性如圖一(b),圖中 S = Ω–1 ,△VS 與△Vo 分別是 VS 與 Vo 的微變量。求算△Vo /△VS 與△VS = 0 時之 Vo。(20 分)
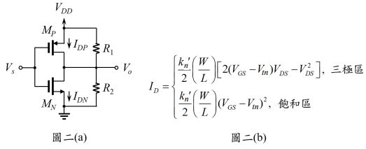
二、圖二(a)電路 VDD = +5 V,R1 = R2 = 2 kΩ,MN 之臨界電壓 |Vtn| = 3.5 V,製程參數(kn'/2)(W/L) = 2/9 mA/V;MP 之|Vtp| = 2.5 V,(kp'/2)(W/L) = 1/12 mA/V; NMOS 之汲極電流公式如圖二(b)。Vs = 0 V 與+5 V 時,分別求算 IDP、 IDN 以及 Vo 之值。(20 分)
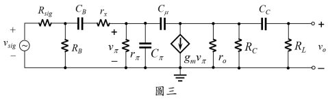
三、以開路時間常數法估算放大器增益的高頻 3-dB 頻率ωH,先求算各必要之電容 Ck 在其他電容開路時所看到的電阻 Rk,得常數τk = RkCk,總時間常數τ為所有τk 之總和。圖三放大器增益 Av = vo/vsig Avo/(1 + jω/ωH),求 算中頻增益 Avo,並以開路常數法估算ωH。rπ = 4rx = 2 kΩ,Cπ = 1.22 pF, Cμ = 0.28 pF,gm = 15.5 mA/V,ro = 75 kΩ;耦合電容 CB = CC = 25 μF; 外部電阻 Rsig = 0,RB = 45 kΩ,RC = 12.5 kΩ,RL = 15 kΩ。(20 分)
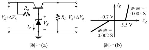
四、圖四振盪器使用理想運算放大器,R1 = 3R = 3 kΩ,C = 0.1 μF。定義兩 RC 電路(含節點 va)之輸出與輸入電壓比為回授β(s) = vb/vo,其餘電路 (含節點 vi)之電壓比為增益 A(s) = vo/vb。推導β(s)與 A(s)之數學式,藉 以求算振盪輸出 vo 的角頻率ωo,並指出 R2 值的範圍。(20 分)
五、圖五(a)回授放大器中,Rs = 0.5 kΩ,Ri = 20 kΩ,Gm = 15 mA/V,ro = 2RL = 100 kΩ,Ra = 9RF = 45 kΩ。以圖五(b)做近似分析,A = vo/vi,β = vf /vo, Af = vo/vs,其中圖五(a)之 Ra-RF回授網路的負載效應已納入 A 電路。畫出 A 電路,並求算β、A、與 Af。 (20 分)