所屬科目:教甄◆數學
6. 梯形ABCD中,平行,又∠A = 90∘,且 = 2,= 3,= 1,求上的中點到的距離為何? (A)1 (B) (C) (D)
7. 已知平面上四點A, B, C,D,且 ,則 =? (A)(B)(C)(D)
13. 若排列組合的等式,則n =? (A)6 (B)7 (C)8 (D)9
19. 有一等比數列{},已知a9 = 1,設Pn = a1a2 ⋯ an,亦即前n項的積,請問下列何者正確? (A)P1 = P19 (B)P3 = P17 (C)P5 = P12 (D)P7 = P11
22. 在坐標平面上,若直線 y=acx+bc 通過第一、第二及第四象限,則下列哪一個是拋物線 y=ax2+bx+c 可能的圖形? (A)(B)(C)(D)
24. 如圖大長方形是由 3 個正方形 A,B,C 與 2 個長方形 D,E 所組成,其長為 40、寬為 24。若長方形 E 的面積比 D 的面積多 128,則 3 個正方形 A,B,C 的面積和為何? (A)614 (B)608 (C)602 (D)596
26. 在坐標平面上,已知兩點A(0, -1), B(1,0) ,若點C在圓(x-1)2+(y-2)2=1上移動,則△ABC的面積最大值為何? (A)(B)(C)(D)
28. 如圖,三角形ABC中, 交於一點,並將△ABC分割成六個小三角形,其面積分別為10,12,8, a,b,c。若4b=3c,則a =? (A)4 (B)5 (C)6 (D)7
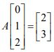
31. 若矩陣A滿足且,則? (A)(B)(C)(D)
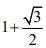
32.的最小值為何? (A)5 (B)6 (C)7 (D)8
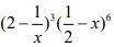
33. 在乘積的展開式中,x4項的係數為何? (A)72 (B)−72 (C)144 (D)−144
35. 設f (x)為實係數四次多項式函數 , 滿足(x2-1)f(x)除 以x4-x3+2x-2的餘式為x2+x−2 。若f(0)=f(1)=6,則f (2) =? (A)10 (B)8 (C)6 (D)4
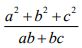
36. 若a,b,c為正數,則的最小值為何? (A) (B) (C)(D)
37. 已知正數a,b,c滿足 a+b=2c+1 且a2+b2=4c2+2c-1,則c的最小值為何? (A) (B) (C) (D)
38. 若二次多項式函數f(x)滿足−3≤f(2)-f(1)≤2 且−1≤f(3)≤2 ,則f (0) 的最大可能值為何? (A)11 (B)12 (C)13 (D)14
39. 若a,b,c,d四數滿足任意三數的乘積與另一數之和都等於,且 abcd =1,則滿足條件的四元組(a,b,c,d)共有多少組? (A)2 (B)4 (C)6 (D)8
40. 若實係數多項式函數f(x)滿足,且 ,則g''(2)=? (A)3 (B)6 (C)9 (D)12