所屬科目:輻射防護師◆游離輻射防護專業
2. 中子捕獲反應式,式中 X 代表什麼? (A) α (B) β (C) p (D) 2n
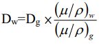
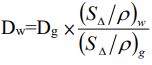
7. 以空腔度量輻射劑量,若其條件符合布拉格-戈雷空腔理論時,腔壁的吸收劑量( Dw ) 與空腔內氣體的吸收劑量( Dg )的比值可以下列何式表示? (註:S =平均阻擋本領, S△ =平均限制性阻擋本領,μen=平均能量吸收係數,μ=平均線性衰減係數) (A) (B)(C) (D)
8.衰變過程中產生的正子(positron)最大能量為多少 MeV?(原子量:18F=18.000937 amu、18O=17.999160 amu;電子的靜止質量m0=5.48✕10-4amu) (A) 1.15 (B) 0.85 (C) 0.63 (D) 0.511
11. 以鈷六十照射 0.1 毫升之硫酸亞鐵水溶液(G value =15.5)後,經測量該水溶液光密度後 推估產生了 3.1✕1010 個新的生成物(Fe3+)分子,則此硫酸亞鐵水溶液得到多少 mGy 的吸 收劑量? (硫酸亞鐵水溶液之密度ρ=1.024 g/cm3) (A) 0.15 (B) 0.31 (C) 1.55 (D) 3.12
7. 一含有 2.7 Ci 活度的某核種,均勻散佈在半徑 30 公分的球體純水溶液中,已知其比加馬發射(specific gamma-ray emission)為 7.82✕10-8 Sv•m2•MBq-1•h-1,發射之γ-ray 對水的平均能量吸收係數為 3.27 m-1,請問球心處的劑量率(Sv•h-1)?