所屬科目:技檢◆測量-丙級
1. 在緩傾斜地區之 AB 兩點,距離約 2 公里,欲迅速而確實的測量其長度, 宜採用 (A)鋼卷尺量法 (B)銦鋼尺量法 (C)間接距離計算法 (D)電子測距儀測量法
2. 在傾斜地區實施直立尺式視距測量,必須使標尺 (A)直立 (B)垂直望遠鏡 (C) 稍向前傾 (D)稍向後傾
3. 在距離測量時,小誤差出現之頻率較大誤差為 (A)高 (B)低 (C)相等 (D)不一定
4. 使用鋼卷尺量距時,彈簧秤之作用為 (A)消除鋼卷尺彎曲 (B)使用適度張力 (C)減少鋼卷尺偏斜 (D)避免鋼卷尺伸縮
5. 規定量距之精度為 1/2000,則測量 100 公尺長之標準誤差不得超過 (A)5 公分 (B)10 公分 (C)15 公分 (D)20 公分
6. 視距測量水平距離精度之最佳值為 (A)1/100 (B)1/300 (C)1/1000 (D)1/3000
7. 一鋼卷尺之刻劃長為 30.00 公尺,但經檢定該鋼卷尺之實長為 29.99 公尺,以該鋼卷尺量得一距離為 150.00 公尺,則其修正後之距離應為? (A)149.90 公尺 (B)149.95 公尺 (C)150.05 公尺 (D)150.10 公尺
8. 下列量距方法中,何者精度最高? (A)視距測量 (B)視角測量 (C)布卷尺量距 (D)電子測距法
9. 某角度分別由技術相當之甲、乙、丙三人觀測,甲觀測一次為 47°37'40",乙觀測九次其平均值為 47°37'30",丙觀測四次其平均值為 47°37'22",則此角度最或是值為 (A)47°37'20" (B)47°37'00" (C)47°37'28" (D)47°37'30"
10. 量距之目的在求得兩點間之 (A)斜距 (B)垂距 (C)平距 (D)等距
11. 橫距桿長為 b,應用經緯儀測得兩端夾角為α,則水平距離 D 為 (A)(B)(C)(D)
12. 橫距桿長通常為 (A)50 公分 (B)2 公尺 (C)5 公尺 (D)10 公尺
13. 視角測量測距之誤差與距離 (A)平方成正比 (B)平方成反比 (C)平方根成正比 (D)平方根成反比
14. 所使用之量距卷尺較標準尺長度為長,則量距時之距離誤差稱為 (A)錯誤 (B)偶然誤差 (C)系統誤差 (D)中誤差
15. 後尺手讀數為 25 公尺,前尺手讀數為 0.456 公尺,則此段距離長為 (A)25.456 公尺 (B)24.456 公尺 (C)24.544 公尺 (D)25.544 公尺
16. 量距時因讀數或記簿錯誤而導致之誤差乃屬 (A)系統誤差 (B)偶然誤差 (C)人 為誤差 (D)相消誤差
17. 所謂兩點間之距離,一般係指兩點間之 (A)垂直距離 (B)水平距離 (C)傾斜距離 (D)直線距離
18. 在等傾斜地面直接量得兩點間之斜距為 100m,已知兩點間之高程差為2.00m,則此兩點間之平距為 (A)99.99m (B)99.98m (C)99.96m (D)99.95m
19. 距離測量時,後尺手之讀數為 30m,前尺手之讀數為 0.23m,則此段之距離為 (A)30.23m (B)29.77m (C)29.87m (D)29.83m
20. 用 30 公尺鋼卷尺測得二點之距離為 210.00 公尺,事後與標準尺比較,該尺長為 30.01 公尺,則此距離之真實長度為 (A)209.93 公尺 (B)209.97 公尺 (C)210.07 公尺 (D)210.03 公尺
21. 電子測距儀最適用於 (A)高程測量 (B)距離測量 (C)斷面測量 (D)方位角測量
22. 電子測距儀上所測得之距離,在未化算前為兩點間之 (A)水平距離 (B)垂直 距離 (C)傾斜距離 (D)海水面距離
23. 設標尺之夾距為 L,K 為乘常數,C 為加常數,當望遠鏡視準線呈水平時,則平坦地視距測量之距離公式為 (A)D=K.L+C (B)D=K-L-C (C)(D)D=K-L.C
24. 一鋼卷尺之刻劃長為 30 公尺,但經檢定該鋼卷尺之實長為 30.01 公尺,以該鋼卷尺量得一距離為 150.00 公尺,則其修正後之距離應為 (A)149.90 公尺 (B)149.95 公尺 (C)150.05 公尺 (D)150.10 公尺
25. 下列何種測距儀器適合於室內或約 100m 以內短距離之量測,觀測方便迅速? (A)全測站經緯儀 (B)微波測距儀 (C)手持式雷射測距儀 (D)GPS 衛星接收儀
26. 量得兩點之傾斜距離為 S,傾斜角為α,則該兩點間之水平距離為 (A)S. sinα (B)S.cosα (C)S.tanα (D)S.cotα
27. 精度較高之量距尺為 (A)測繩 (B)布卷尺 (C)塑膠卷尺 (D)銦鋼尺
28. 視距測量之視距乘常數一般為 (A)0 (B)50 (C)100 (D)200
29. 一公尺等於 (A)10 公分 (B)12 公分 (C)50 公分 (D)100 公分
30. 高精度之直接距離測量,使用 (A)尼龍卷尺 (B)測繩 (C)銦鋼尺 (D)竹尺
31. 精密量距時,測尺端連彈簧秤之作用,可以保持該測尺與檢定長度時之_______相等。(A) 溫度 (B)張力 (C)傾斜 (D)偏倚
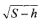
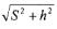
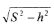
32. 測得 A、B 兩點之高程差為 h,兩點之傾斜距離為 S,則兩點間之水平距離為 (A)(B) (C)(D)
33. 距離測量之精度,用電子測距儀較尼龍卷尺為 (A)高 (B)低 (C)相等 (D)或高或低
34. 用電子測距儀測距時,在其發射器與反射器之間,須為 (A)無聲 (B)無光 (C) 無阻擋 (D)無風
35. 在平坦地區用經緯儀作視距測量,望遠鏡視線水平讀得標尺夾距為 1.12 公尺,則儀器與標尺間之距離為 (A)11.2 公尺 (B)112 公尺 (C)110 公尺 (D)11 公尺
36. 依據二個已知點的平面坐標值,即可計算得此兩點間的 (A)傾斜距離 (B)垂 直距離 (C)水平距離 (D)圓弧長度
37. 一台尺約等於 (A)100.00 公分 (B)33.00 公分 (C)30.48 公分 (D)30.30 公分
38. 卷尺長度不合標準時,對量距總長產生的誤差是 (A)相消誤差 (B)系統誤差 (C)閉合誤差 (D)偶然誤差
39. 一英哩約等於 (A)1.509 公里 (B)1.609 公里 (C)1.709 公里 (D)1.809 公里
40. 紅外線測距儀所發射的光波是 (A)可見光 (B)不可見光 (C)低頻電磁波 (D)極低 頻電磁波
41. 兩點間距離為 1,000 公尺,其量距誤差為 100 公分,則量距精度為 (A)1/100 (B)1/1000 (C)1/5000 (D)1/10000
42. 三邊測量是測量三角形的 (A)內角 (B)三邊之方位角 (C)三邊之邊長 (D)三邊之 天頂距
43. 台制一甲土地的面積等於 (A)2,934 坪 (B)3,025 坪 (C)3,000 坪 (D)2,735 坪
44. 標桿上漆有紅白相間油漆,每段長為 (A)5 公分 (B)10 公分 (C)20 公分 (D)25 公分
45. 在 1/500 比例尺地圖上之兩點長度為 10 公分,則相應實地距離為 (A)20 公尺 (B)30 公尺 (C)50 公尺 (D)100 公尺
46. 在平坦地量距時,卷尺未保持水平,對量距總長所產生之總誤差為 (A)相消誤差 (B)偶然誤差 (C)系統誤差 (D)自然誤差
47. 卷尺量距時所用之拉力不同,其所產生之誤差為 (A)人為誤差 (B)偶然誤差 (C)系統誤差 (D)自然誤差
48. 使用 30 公尺長之普通卷尺量得距離為 119.92 公尺,但該卷尺與標準尺比較時,卷尺上 29.98 公尺分劃處相當於標準尺 30.00 公尺,則此段正確距離為? (A)120.08 公尺 (B)120.00 公尺 (C)119.84 公尺 (D)119.76 公尺
49. 在斜坡上設置經緯儀實施視距測量時,標尺應保持 (A)垂直豎立 (B)向後或向前任意傾斜豎立 (C)與經緯儀視準軸垂直豎立 (D)向左右任意偏斜
50. A、B、C 三點在斜坡同一直線上,AB、BC 之斜距,及傾斜角,則 AC 之水平距離為 (A) (B) (C)(D)