所屬科目:技檢◆模具-模具-丙級
1. 車床切斷工件,產生振動的原因是 (A)車刀夾太緊 (B)工件夾太緊 (C)車刀沒有夾緊 (D)切斷部位太靠近夾頭。
2. 依水污染防治法,事業排放廢(污)水於地面水體者,應符合下列哪一標準之規定? (A)水體分類水質標準 (B)放流水標準(C)土壤處理標準 (D)下水水質標準。
3. 依勞動基準法規定,下列何者屬不定期契約? (A)臨時性或短期性的工作 (B)季節性的工作 (C)有繼續性的工作 (D)特定性的工作。
4. 常用螺絲攻之材質是 (A)高速鋼 (B)鉻鋼 (C)高碳鋼 (D)鎢鋼。
5. 某甲在公務機關擔任首長,其弟弟乙是某協會的理事長,乙為舉辦協會活動,決定向甲服務的機關申請經費補助,下列有關利益衝突迴避之敘述,何者正確? (A)機關未經公開公平方式,私下直接對協會補助活動經費新臺幣 10 萬元 (B)協會是舉辦慈善活動,甲認為是好事,所以指示機關承辦人補助活動經費 (C)甲應自行迴避該案審查,避免瓜田李下,防止利益衝突 (D)乙為順利取得補助,應該隱瞞是機關首長甲之弟弟的身分。
6. 利用畫記符號,來記錄或檢核工作項目是否完成的品管技巧,稱為 (A)價值分析 (B)查核表 (C)層別法 (D)特性要因分析。
7. 鉗工虎鉗的大小是以何者稱呼 (A)螺桿直徑 (B)鉗口高度 (C)鉗口可打開距離 (D)鉗口寬度。
8. 帶鋸機上熔接帶鋸條是利用 (A)高電壓、小電流 (B)低電壓、大電流 (C)高電壓、大電流 (D)低電壓、小電流。
9. 研磨碳化鎢刀具,應選用何種磨料之砂輪 (A)碳化矽 (B)碳化鈦 (C)氧化鈦 (D)氧化鋁。
10. 下列何者「違反」個人資料保護法? (A)縣市政府提供村里長轄區內符合資格之老人名冊供發放敬老金 (B)網路購物公司為辦理退貨,將客戶之住家地址提供予宅配公司 (C)學校將應屆畢業生之住家地址提供補習班招生使用 (D)公司基於人事 管理之特定目的,張貼榮譽榜揭示績優員工姓名。
11. 在鋼板上畫圓時,圓心必須用何種工具衝眼 (A)分規 (B)刺沖 (C)劃線針 (D)圓規。
12. 操作性靈活,但不適合重切削之銑床為 (A)臥式 (B)砲塔式 (C)萬能式 (D)立式 銑床。
13. 鑽孔即將鑽通時,施加於鑽頭之力量應 (A)不施加力量 (B)維持一致 (C)微量增加 (D)逐漸減少。
14. 沖模間隙與沖壓料片何者有關 (A)尺寸 (B)形狀 (C)厚度 (D)重量。
15. 在鋼料上鉸螺紋時,適合之潤滑劑為 (A)機油 (B)去漬油 (C)煤油 (D)黃油。
16. 影響切削刀具壽命之最大因素為 (A)刀具硬度 (B)切削速度 (C)材料硬度 (D)切削劑。
17. 要將碳鋼實施淬火前,必須將鋼料加熱至變態點溫度以上,使其產生何種組織 (A)麻田散鐵 (B)沃斯田鐵 (C)肥粒鐵 (D)雪明碳鐵。
18. 校正銑床上虎鉗鉗口與床台左右移動的平行度,宜採用 (A)塊規 (B)槓桿量錶 (C)正弦桿 (D)指示量錶。
19. 鉸孔時引起振動造成不良孔面,其原因是 (A)切削劑過量 (B)孔徑太大 (C)鉸削量不夠 (D)鉸削量太大。
20. 要鑑別鋼料種類最簡便之方法是 (A)硬度試驗 (B)彎曲試驗 (C)火花試驗 (D)疲勞試驗。
21. 安全門或緊急出口平時應維持何狀態? (A)與一般進出門相同,視各樓層規定可開可關 (B)保持開門狀態以保持逃生路徑暢通 (C)門可上鎖但不可封死 (D)門應關上但不可上鎖。
22. 在扁平工件表面劃線,為使工件放置穩定,宜使用何者輔助? (A)V 形枕 (B)高度規 (C)直角規 (D)劃線台。
23. 沖壓模具中的導料銷(pilot pin)的功能是為了引導_______定位。 (A)料條 (B)模孔 (C)沖頭 (D)導料板
24. 一般外分厘卡可加適當量測壓力的部位是 (A)棘輪停止器 (B)外套筒 (C)襯筒 (D)卡架。
25. 放電加工容易積碳的主要原因為 (A)放電面積太小 (B)排渣時間太短 (C)工件未完全被冷卻液覆蓋 (D)放電時間太短。
26. 一般手工鉸刀的柄端形狀是 (A)三角形 (B)方柱形 (C)圓柱形 (D)圓錐形。
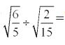
27. 計算 (A)3 (B)(C)(D)5。
28. 往複式鋸床鋸切鋁塊時,宜選用的鋸條齒數為每 25.4 ㎜有 (A)6~8 齒 (B)8~10 齒 (C)10~12 齒 (D)4~6 齒。
29. 磨削時,若工件移動速度太快會造成 (A)燒焦 (B)破裂 (C)填塞 (D)振紋。
30. 表示品質特性與其製造因素間之關係圖稱為 (A)直方圖 (B)散佈圖 (C)特性要因圖 (D)重點分析圖。
31. 小李具有乙級廢水專責人員證照,某工廠希望以高價租用證照的方式合作,請問下列何者正確? (A)這是違法行為 (B)經環保局同意即可 (C)價錢合理即可 (D)互蒙其利。
32. 氣壓元件符號 ,係指 (A)真空幫浦 (B)單向氣壓馬達 (C)壓縮機 (D)單向電馬達。
33. 某公司員工因執行業務,擅自以重製之方法侵害他人之著作財產權,若被害人提起告訴,下列對於處罰對象的敘述,何者正確? (A)僅處罰雇用該名員工的公司 (B)該名員工及其雇主皆須受罰 (C)僅處罰侵犯他人著作財產權之員工 (D)員工只 要在從事侵犯他人著作財產權之行為前請示雇主並獲同意,便可以不受處罰。
34. 沖壓模具模座與導柱垂直度,每 100 ㎜長應在 (A)0.06~0.07 ㎜ (B)0.02~0.03 ㎜ (C)0.08~0.09 ㎜ (D)0.04~0.05 ㎜ 間。
35. 在一般鋼料上手工鉸削直徑 8 ㎜圓孔,最後應鑽直徑多大的孔 (A)7.5 ㎜ (B)7.2 ㎜ (C)6.8 ㎜ (D)7.8 ㎜。
36. 銑床床台上之T形槽的功用為 (A)安裝夾具 (B)作切削油通道 (C)減輕重量 (D)保持工作台面平直。
37. 欲磨削精密角度時,何項夾具最理想 (A)正弦規 (B)磁性夾頭 (C)正弦虎鉗 (D)精密虎鉗。
38. 積屑刀口連續切削之循環過程為 (A)形成→分裂→脫落→成長 (B)形成→成長→分裂→脫落 (C)成長→形成→分裂→脫落(D)脫落→分裂→形成→成長。
39. 下列何種方式沒有辦法降低洗衣機之使用水量,所以不建議採用? (A)選擇快洗行程 (B)兩、三件衣服也丟洗衣機洗 (C)選擇有自動調節水量的洗衣機 (D)使用低水位清洗。
40. 車床齒輪箱使用之潤滑劑宜選用 (A)煤油 (B)植物油 (C)動物油 (D)機油。
41. 下料模具的剪斜角,其功用為 (A)減低沖剪力 (B)提高材料使用率 (C)減少毛邊 (D)提高精度。
42. 何者不是射出機停機檢查項目 (A)清潔模具並防銹 (B)檢查塑料是否足夠 (C)關冷卻水 (D)關閉料斗間料閘。
43. 下列三板模脫料板行程何者較易脫模 (A)2 ㎜ (B)1 ㎜ (C)10 ㎜ (D)5 ㎜。
44. 車床導螺桿的半開螺帽,其材質為 (A)鑄鐵 (B)塑膠 (C)銅合金 (D)鑄鋼。
45. 表面粗糙度標準板的量測方式是 (A)刻度顯示 (B)數字顯示 (C)目測與觸覺比較 (D)指針顯示。
46. 成形銑刀材質通常為 (A)碳化鎢 (B)陶瓷 (C)工具鋼 (D)高速鋼。
47. 漏電影響節電成效,並且影響用電安全,簡易的查修方法為 (A)看電費單有無紀錄 (B)用三用電表檢查 (C)用手碰觸就可以知道有無漏電 (D)電氣材料行買支驗電起子,碰觸電氣設備的外殼,就可查出漏電與否。
48. 鋸條規格"300×12×0.64-24T"中,表示鋸齒粗細的是 (A)300 (B)24T (C)0.64 (D)12。
49. 下列何者的含碳量最高 (A)S45C (B)S15C (C)S30C (D)S20C。
50. 彎形之回彈量大小是如何表示 (A)速度 (B)距離 (C)作用力 (D)角度。
51. 下列何種刀具不宜裝置於鑽頭夾頭 (A)直柄鑽頭 (B)直柄中心鑽頭 (C)錐柄鑽頭 (D)直柄鉸刀。
52. 何者不是常用模具冷卻的媒介 (A)空氣 (B)水 (C)油 (D)乾冰。
53. 下列何者不是噪音的危害所造成的現象? (A)緊張、焦慮 (B)煩躁、失眠 (C)工作效率低落 (D)精神很集中。
54. 設若手輪刻度每小格為 0.005 ㎜,每轉一圈為 5 ㎜,若欲進刀 6.22 ㎜,則應轉一圈又多少格 (A)244 (B)122 (C)622(D)262。
55. 依勞動基準法規定,雇主應置備勞工工資清冊並應保存幾年? (A)1 年 (B)10 年 (C)2 年 (D)5 年。
56. 表面粗糙度是指工件表面的 (A)電鍍程度 (B)凹凸程度 (C)車刀痕跡 (D)疤痕多寡程度。
57. 一般規格品之銼刀,何者有安全邊______銼刀。 (A)三角 (B)平 (C)圓 (D)方
58. 下列何者位於中央處理單元中 (A)主記憶體 (B)光碟機 (C)輔助記憶體 (D)快取記憶體。
59. 關於綠色採購的敘述,下列何者錯誤? (A)採購的產品對環境及人類健康有最小的傷害性 (B)選購對環境傷害較少、污染程度較低的產品 (C)採購由回收材料所製造之物品 (D)以精美包裝為主要首選。
60. 機車為空氣污染物之主要排放來源之一,下列何者可降低空氣污染物之排放量:A.將四行程機車全面汰換成二行程機車;B.推廣電動機車;C.降低汽油中之硫含量? (A)僅 BC (B)僅 AC (C)僅 AB (D)ABC 皆正確。
61. 材料彎形時,彎形處的中立面會移向 (A)拉伸側 (B)兩側 (C)壓縮側 (D)中心線。
62. 銑削六面體工件時,應將完成之第一面作基準面靠於 (A)任何面均可 (B)虎鉗之底面 (C)虎鉗之固定鉗口 (D)虎鉗之活動鉗口。
63. 外徑分厘卡之兩個砧座面是否磨損或平行,可用何種量具檢驗 (A)工具顯微鏡 (B)光學平面鏡 (C)精測塊規 (D)表面粗度儀。
64. 40±0.04 ㎜其許可差為 (A)0.24 ㎜ (B)0.08 ㎜ (C)0.16 ㎜ (D)0.04 ㎜。
65. 可傳遞最大動力,且能在軸上滑行的鍵為 (A)鞍形鍵 (B)半月鍵 (C)栓槽鍵 (D)平鍵。
66. 銑削工件之精度不良,與何者無關 (A)進給過慢 (B)進給過快 (C)刀刃鈍化 (D)心軸套鬆動。
67. 下列有關工作場所安全衛生之敘述何者有誤? (A)勞工應定期接受健康檢查 (B)對於勞工從事其身體或衣著有被污染之虞 之特殊作業時,應備置該勞工洗眼、洗澡、漱口、更衣、洗濯等設備 (C)事業單位應備置足夠的零食自動販賣機 (D)事業單位應備置足夠急救藥品及器材。
68. 端銑刀一般為何種材質 (A)碳鋼 (B)錳鋼 (C)高速鋼 (D)鎳鋼 製成。
69. 柱膝型銑床使用後,宜將床鞍 (A)移離柱膝面 (B)移近柱膝面 (C)移至最高 (D)任意停放。
70. 若圓的直徑是 100 ㎜,則圓上的點和圓心相距 (A)50 ㎜ (B)200 ㎜ (C)40 ㎜ (D)100 ㎜。
71. 氣壓元件符號 ,係指 (A)乾燥器 (B)過濾器 (C)潤滑器 (D)自動排水器。
72. 公司發給每人一台平板電腦提供業務上使用,但是發現根本很少在使用,為了讓它有效的利用,所以將它拿回家給親人使用,這樣的行為是 (A)不可以的,因為這是公司的財產,不能私用 (B)可以的,反正放在那裡不用它,也是浪費資源 (C) 可以的,這樣就不用花錢買 (D)不可以的,因為使用年限未到,如果年限到報廢了,便可以拿回家。
73. 軸用 C 形扣環可限制軸上裝配機件之 (A)徑向與軸向運動 (B)軸向運動 (C)徑向或軸向運動 (D)徑向運動。
74. 對於公差的敘述,下列何者為正確 (A)實際尺寸與基本尺寸的數字差 (B)最小限界尺寸與基本尺寸的數字差 (C)最大限界尺寸與實際尺寸的數字差 (D)最大限界尺寸與最小限界尺寸的數字差。
75. 模具的圓頂出銷孔,一般在鑽床上鑽孔後,再用______加工。 (A)精密鑽頭 (B)銑刀 (C)鉸刀 (D)小砂輪
76. 全球暖化潛勢(Global Warming Potential, GWP)是衡量溫室氣體對全球暖化的影響,其中是以何者為比較基準? (A)SF6 (B)CO2 (C)N2O (D)CH4。
77. "WA-36-K-6-V" 中之"K"表示 (A)製法 (B)組織 (C)結合度 (D)粒度。
78. 成品頂出銷凹痕是如何產生? (A)塑膠材料加玻璃纖維 (B)塑膠材質太硬 (C)頂出銷低於公模面 (D)頂出銷高於公模面。
79. 停止平面磨床工作時,應先 (A)與先後順序無關 (B)關掉總開關 (C)關掉切削劑開關 (D)關掉砂輪開關。
80. 對於模具中的鑲件應該 (A)任意組立 (B)分次互換使用 (C)標示固定位置 (D)每次更換新品。