所屬科目:教甄◆數學
1. 的個位數字為 _________。
3. 在坐標平面上有一△ABC,設 A(5, 3)、L1:x+3y=-1 為∠B 的角平分線、L2:x-7y=23 是 C 點對直線 所作的垂直直線,若直線的方 程式為 ax+by=1,則數對(a, b)= _________。
4. 電影星際大戰(Star Wars)中,帝國軍的兩架鈦戰機在空間坐標系中,各自沿直線 L1: =z-2、L2:x+4=3-y=-z 飛行,反抗軍在點(3, 2, 1) 處發射一束雷射砲恰好擊落了此兩架鈦戰機,假設雷射砲的彈道為直線 L:=z-1,試問數對(a, b)=_________。
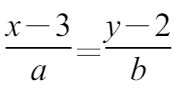
6. 設多項式函數f(x)滿足deg( f(x)) = 2024,且對於k = 1,2,3, . . . ,2025,恆有,則f(2026)之值為__________。
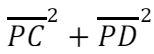
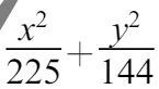
7. 在坐標平面上,若 Γ:=1、A(9, 0)、B(7, 7),且動點 P 在 Γ 上,試求: 的最小值為 __________。
(1) 求的最小值,寫出此時P點所在的位置,並證明之。 (6 分)
(2) 求 的最大值,寫出此時P點所在的位置,並證明之。 (5 分)
(3) 若將三角形推廣到任意凸四邊形ABCD,請分別寫出當發生最大值與最小值時,P點所在的位置(不需證明)。(4 分)
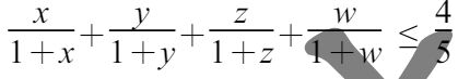
2. 已知 x, y, z, w 為正實數且滿足 x+y+z+w=1,試證明。(8 分)
(1) 請就「數列」說明學生在數列極限的學習上,會出現的迷思概念或錯誤類型。(4 分)
(2) 請就「無窮級數」說明學生在無窮級數的學習 上,會出現的迷思概念或錯誤類型。(4 分)