所屬科目:技師◆都市交通計畫
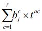
一、旅次發生(Trip Generation)是以交通分區的社會經濟、區位與土地使用等特性估計進入或離開該區的總旅次數,是運輸規劃的重要步驟,其中類目分析法(Category Analysis)係有效且節省經費的方法。目前已知下列資料,請以類目分析法預測 A 區、B 區及 C 區二十年後旅次吸引數。(25 分)1.旅次吸引率2.三處交通區二十年後之土地使用特性註:類目分析法之旅次吸引模式為:Aj = 式中 Aj :j 區未來吸引旅次數:j 區未來第 c 類產業地及業數或土地使用面積。tac :c 類現在產業每日旅次吸引率
二、行人流(pedestrian flow)是許多交通設施於設計及現況評估時的重要考慮因素之一,若欲從客觀角度進行人行需求之評估,可以行人交通設施服務水準加以評定。請依行人步行時感受的差異性,列舉水平步道的服務水準分級,並說明其分級之涵義。 (25 分)
三、交通寧靜區係指劃設某區域範圍內之道路採用寧靜式交通策略,以減少穿越性交通及降低行車速率,降低機動車輛所帶來的負面影響,進而改善該範圍內道路使用環境。請列舉交通寧靜區之規劃原則,並列舉交通工程實務中可採用之策略。(25 分)
四、交通影響衝擊評估係評估新增交通量對基地範圍內路段或路口之影響,並提出改善策略及改善之效果,其基本精神架構不脫離傳統都市運輸規劃方法範疇。請分別說明交通影響衝擊評估與傳統都市運輸規劃方法在「基本特性」、「土地使用」及「運輸系統」層面上之特性(各方法各層面請分別說明至少 3 項特性)。(25 分)