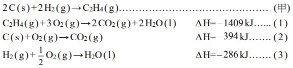
35. 在100℃下,乙烷氣體3.00克與氮氣2.00克混合於5.00升的容器中,計算容器中兩氣體之分壓 及總壓 , 以 [ 乙烷分壓 , 氮氣分壓 , 總壓 ] 表示,下列何者最為接近 ? (R=8.314m3 -Pa /mol-K) (A) [ 62.0 kPa ,43.4 kPa ,105.4 kPa ] (B) [ 16.6 kPa , 11.6kPa ,28.2 kPa ] (C) [ 62.0Pa , 43.4Pa ,105.4Pa ] (D) [ 16.6Pa ,11.6Pa , 28.2Pa ]