所屬科目:統測◆05化工群◆(一)普通化學、普通化學實驗、分析化學、分析化學實驗
1.下列有關鈉的性質敘述,哪一項屬於鈉的物理性質? (A)置於水中時會發出嘶嘶聲,並產生氣體 (B)當曝露於空氣中時,它的表面顏色變成黑色 (C)鈉在25°C下是固體,當加熱至98°C時變成液體 (D)鈉在自然界中從不以純金屬形式存在
2.一個氣體混合物包含氫氣(H2)、二氧化碳(CO2)和氦氣(He),其中氫 氣的莫耳分率為0.55,氦氣的莫耳分率為0.25。如果該混合物在標準 溫度和壓力(STP)下置於一個5.6L的容器中,則有多少個二氧化碳 (CO2)分子存在? (A) (B) (C) (D)
3.當位於體積為2.00L的容器內的氣體壓力為2.50atm,以及位於體積 為3.00L的容器內的氣體壓力為1.50atm時,當兩個容器之間的閥門被打開後,在溫度保持恆定下,兩個容器內的最終壓力是多少? (A)1.50atm (B)1.90atm (C)4.00atm (D)4.50atm
4.有關水的敘述,下列何者正確?(A)水的淨化過程包括沉降、凝聚、過濾、曝氣、除臭去色及消毒(B)水的優養化是因為重金屬汙染所造成的(C)通常生化需氧量大於化學需氧量(D)蒸餾法是最常用於大量從海水製造淡水的方法
5.有個溶液包含1mol的液體A和3mol的液體B,這個溶液在25°C時的 蒸氣壓為314torr。在25°C時,液體A的飽和蒸氣壓為280torr,而液體B的飽和蒸氣壓為360torr,下列何者正確? (A)A–B引力等於單獨A–A及B–B的引力 (B)此溶液不是理想溶液 (C)此溶液為理想溶液 (D)無法判斷是否為理想溶液
6.某一個第3週期元素的游離能(單位為kJ/mol)如下,則最有可能是 哪一個元素?
IE1=1000;IE2=2250;IE3=3360;IE4=4560;IE5=7010; IE6=8500;IE7=27100 (A)Si (B)P (C)S (D)Cl
7.下列何種物質由共價鍵所構成? (A)KCl (B)K (C)Ar (D)H2S
8.化學反應4NO(g)+2O2(g)→4NO2(g)的反應熱(kJ)為多少?
已知:N2(g)+O2(g)→2NO(g) ΔH°rxn=+183kJ
1/2N2(g)+O2(g)→NO2(g) ΔH°rxn=+33kJ (A)150 (B)–117 (C)–150 (D)–234
9.反應2A+3B→2Z遵循一般速率定律Rate=k[A][B]2,如果B的濃度變為原來的2.00倍,反應速率將會變為原來的幾倍? (A)1/2 (B)2 (C)4 (D)6
10.在一個體積為3.0L且濃度為0.002M的NaF溶液中,將有多少莫耳的CaF2溶解?(CaF2的值為) (A) (B) (C) (D)
11.一個濃度為0.330M的HOA溶液,其解離方程式為:
HOA(aq)+H2O(l)⇌
,則該溶液的pH為何? (A)4.5 (B)4.0 (C)3.8 (D)3.0
12.已知
若形成一電池,則下列敘述何者正確? (A)電池電位為0.06V (B)其中Co為陰極 (C)電池表示式為:(D)Cu進行還原反應
13.關於鹼金族與鹼土族之元素與化合物的性質,下列敘述何者正確? (A)有三金屬之焰色分別為紫、黃及綠,可能是鉀、鈉及鈣 (B)氫氧化鈉容易吸水後與二氧化碳生成小蘇打 (C)氧化鈣遇水產生Ca(OH)2,又稱為熟石灰 (D)硫酸鎂耐溫可作為耐火磚
14.關於過渡金屬離子與錯離子的性質,下列敘述何者正確? (A)的電子組態為[Ar]4s¹3d9 (B)亞鐵氰化鉀K4[Fe(CN)6]又名黃血鹽,鐵氰化鉀K3[Fe(CN)6]又名 赤血鹽 (C)錯離子為sp3鍵結之四面體結構 (D)EDTA在錯離子中為重要的配位基,屬四牙基
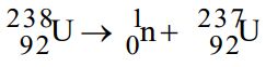
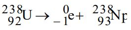
15.關於核化學反應,下列何者為的α蛻變? (A) (B) (C) (D)
16.下列Br2與CH3CH=CHCH3反應何者正確? (A)CH3CH=CHCH3+Br2→CH3CHBrCH2CH3+HBr (B)CH3CH=CHCH3+Br2→BrCH2CHCHBrCH3 (C)CH3CH=CHCH3+Br2→BrCH2CH2CH2CH2Br (D)CH3CH=CHCH3+Br2→CH3CHBrCHBrCH3
17.以固定電流15安培電解ACl3,假設電解過程體積不變,若想從 陰極析出8g的A金屬,需要電解多少秒?(原子量A=96.5) (A)2400 (B)1600 (C)800 (D)150
18.關於蒸餾分離技術,下列何者正確? (A)依沸點不同分離混合液體 (B)沸點較高者先被蒸出 (C)通過於不同溶液中溶解度的差異進行分離 (D)屬於固液分離的方法
19.在1atm下,為了使7°C定量的氣體由體積4.00L擴張至體積8.00L, 則溫度約需要加熱至幾度(°C)? (A)14 (B)56 (C)287 (D)560
20.為了製備一個沸點為105.12°C的水溶液,必須在1.0kg的水中添加 多少克的乙二醇?(分子量:C2H6O2=62,=0.512°C/m) (A)62 (B)155 (C)310 (D)620
21.關於未來分析化學的發展趨勢何者正確? (A)由線上作業分析往離線作業分析發展 (B)由超微量分析往微量分析發展 (C)由破壞分析往無損分析發展 (D)由單一微區分析往總體綜合分析發展
22.在20°C時,葡萄糖水溶液的重量百分濃度為20%,則此溶液的重量莫耳濃度(m)為何?(分子量:葡萄糖=180) (A)0.389 (B)1.389 (C)2.389 (D)3.389
23.定性分析中可將陽離子分為五屬,是根據陽離子與沉澱劑的何種 差異來區分? (A)加入的沉澱劑顏色 (B)生成的沉澱物溶解度 (C)生成的沉澱物顏色 (D)加入的沉澱劑酸鹼值
24.以0.1M的H2SO4標準溶液標定25mL的NaOH溶液,共用了12.5mL的H2SO4溶液,則NaOH溶液的體積莫耳濃度(M)為何? (A)0.05 (B)0.10 (C)0.20 (D)0.50
25.關於重量分析法中所產生的沉澱物,下列敘述何者 不正確 ? (A)粒子要很小且呈現非結晶狀態 (B)溶解度要低 (C)沉澱物的化性安定 (D)具有一定組成且純度高
26.取某氯化物2.0g溶於水,經攪拌完全溶解後加入AgNO3溶液使 氯化物中的氯完全形成AgCl沉澱,秤得AgCl重量為2.0g,則氯化物 中含氯的重量百分率為何?(原子量:Ag=107.9,Cl=35.45) (A)24.7% (B)32.9% (C)49.5% (D)75.3%
27.在酸鹼滴定實驗中,當達到滴定終點時,下列敘述何者正確? (A)pH值一定小於7 (B)pH值一定等於7 (C)酸的克當量數與鹼的克當量數相等 (D)滴定終點與當量點之間通常沒有差異
28.以EDTA滴定法來測定水中鎂離子的含量時,2mol的EDTA可與 多少莫耳的鎂離子形成螯合物? (A)1 (B)2 (C)4 (D)6
29.有關電磁波頻率由高到低的比較,下列排列順序何者正確? (A)X射線>紫外光>紅外光>無線電波 (B)無線電波>紅外光>紫外光>X射線 (C)X射線>無線電波>紫外光>紅外光 (D)X射線>紫外光>無線電波>紅外光
30.在分光光度分析中,某一單色光束通過濃度為0.005M的樣品溶液, 則有90%的入射光被吸收,已知光徑為1cm,則樣品溶液中溶質的 莫耳吸收係數為多少? (A)50 (B)100 (C)200 (D)500
31.利用濾紙層析法分析某化合物時,展開液前沿的移動距離為10cm, 化合物色點中心的移動距離為5cm,則該化合物的阻滯因數 (Retardationfactor,)為多少? (A)5 (B)2 (C)1 (D)0.5
32.以氣相層析法分析化合物的成分,可利用層析圖上的何種訊息? (A)波峰高度 (B)波峰之半高峰寬度 (C)波峰面積 (D)滯留時間
33.一般化學分析工作的第一步是要進行哪一個步驟? (A)採樣 (B)初步試驗 (C)試樣分散 (D)定量分析
34.已知100mL的水溶液中含有0.001mg的鈣離子,則此水溶液中 含有鈣離子的濃度相當於多少ppm? (A)0.001 (B)0.01 (C)0.1 (D)1
35.下列哪一種沉澱物在加入濃H2SO4後會產生侵蝕玻璃的氣體? (A)CaCO3 (B)CaC2O4 (C)CaSO4 (D)CaF2
36.關於化學分析的誤差與數據處理,下列敘述何者 不正確 ? (A)理論上由無數次測定結果所得之平均值稱為真值 (B)化學分析實驗數據的偏差,是指測定值與平均值之間的差值 (C)測定值之標準偏差越小,表示測定結果之精確度越高 (D)精確度高,準確度也一定高
37.熱重分析技術(TGA)是紀錄試樣的何種變化來瞭解物質的特性? (A)體積 (B)溫度 (C)重量 (D)密度
38.利用過錳酸鉀(KMnO4)標準溶液測定雙氧水試樣中過氧化氫 (H2O2)含量的反應,下列敘述何者正確? (A)H2O2為氧化劑 (B)KMnO4為還原劑 (C)H2O2被氧化為O2 (D)此反應需在鹼性溶液中進行
39.某可見光之波長為600nm,則其每一個光子所具有的能量為多少焦耳?(蒲朗克常數) (A) (B) (C) (D)
40.下列氣相層析法與液相層析法所使用的偵檢器中,何者為破壞性偵檢器? (A)折射率偵檢器 (B)熱傳導偵檢器 (C)螢光偵檢器 (D)離子火焰化偵檢器