阿摩線上測驗
登入
首頁
>
關務◆五等◆輪機工程大意(包括柴油機大意與輔機大意)
> 113年 - 113 關務特種考試_五等_輪機工程:輪機工程大意(包括柴油機大意與輔機大意)#119416
113年 - 113 關務特種考試_五等_輪機工程:輪機工程大意(包括柴油機大意與輔機大意)#119416
科目:
關務◆五等◆輪機工程大意(包括柴油機大意與輔機大意) |
年份:
113年 |
選擇題數:
50 |
申論題數:
0
試卷資訊
所屬科目:
關務◆五等◆輪機工程大意(包括柴油機大意與輔機大意)
選擇題 (50)
1 下列何者為燃燒室構件之一? (A)曲軸 (B)活塞 (C)噴油閥 (D)凸輪
2 有關柴油機功率之敘述,下列何者錯誤? (A)氣缸內燃油燃燒產生之功率稱為指示功率 (B)柴油機機械接觸面運動摩擦所引起的功率損失稱為摩擦功率 (C)制動功率又稱為有效功率,等於指示功率加上摩擦功率之值 (D)制動功率與指示功率之比值稱為機械效率
3 船用柴油機的工作循環又稱為何種循環? (A)鄂圖循環 (B)狄賽爾循環 (C)沙巴特循環 (D)雙燃燒循環
4 在氣缸壓力測繪之圖形中,下列何者可用於觀測氣缸的壓縮壓力? (A)壓力-容積圖(P-V 圖) (B)弱彈簧壓力-容積圖(弱彈簧 P-V 圖) (C)壓力-曲柄角度圖(P-θ 圖) (D)壓力變化-曲柄角度圖(dP-θ 圖)
5 四衝程柴油機工作循環有①吸氣 ②膨脹 ③壓縮 ④排氣,請問下列順序何者正確? (A)④→③→②→① (B)①→③→②→④ (C)②→①→③→④ (D)③→④→①→②
6 為了避免主機主軸出現軸向的移動所使用之軸承為下列何者? (A)滾珠軸承 (B)滾柱軸承 (C)推力軸承 (D)軸頸軸承
7 Dead Slow 俥令是指柴油機何種設定速度? (A)極慢速 (B)慢速 (C)半速 (D)全速
8 船用柴油機若使用重油,其要能夠在氣缸中適當的霧化噴射,除了噴射壓力之外,另一重要的性質為何? (A)閃火點 (B)熱值 (C)比重 (D)黏度
9 下列何者為柴油機安裝渦輪增壓機的優點? (A)可減少柴油機供油量 (B)可降低柴油機排氣溫度 (C)可提高柴油機低負載時的進氣效率 (D)可大幅增加柴油機功率
10 下列何者並非造成船用柴油機氣缸壓縮壓力下降之原因? (A)排氣閥開啟時間太早 (B)氣缸套磨耗 (C)排氣閥洩漏 (D)活塞環磨耗
11 船用燃油成分中,何者經燃燒後於大氣中與空氣結合將產生酸雨? (A)殘留碳 (B)硫 (C)灰分 (D)金屬粉粒
12 下列何者會造成柴油機單一氣缸排氣溫度上升且引擎冒黑煙? (A)供應空氣量不足 (B)燃油黏度過高 (C)燃油噴射霧化不良 (D)重負載
13 主機機側操控台上的“Remote”按鈕,指由何處操控? (A)駕駛台 (B)舵機房 (C)機艙控制室 (D)主機機側
14 下列那一型泵浦並非屬於正排量式泵浦? (A)離心式 (B)往復式 (C)齒輪式 (D)旋轉式
15 柴油機缸套過度磨耗的對策,下列何者錯誤? (A)定期開啟掃氣室檢查缸套、活塞狀態 (B)避免柴油機長期低負荷運轉 (C)燃油含硫量 3%以上,需搭配 TBN30~35 汽缸油 (D)注意調整汽缸冷卻水溫度
16 下列那一種閥只適合全開或全關,並不適合管路節流的操作? (A)閘門閥 (B)蝴蝶閥 (C)等百分比閥 (D)球閥
17 下列何者是離心泵的主要構造? (A)齒輪 (B)葉輪 (C)螺桿 (D)活塞
18 下列何者為淡水製造機系統中用以抽真空之泵浦? (A)離心式 (B)噴射式 (C)迴轉式 (D)往復式
19 下列造水機裝置種類中,何者體積為最小? (A)急遽汽化式 (B)浸管式 (C)板式 (D)真空多段效用式
20 International sewage pollution prevention certificate 為下列何者? (A)國際貨輪安全設備證書 (B)國際船舶保全證書 (C)國際防止污水污染證書 (D)國際載重線證書
21 下列何者不是冷凍系統的循環之一? (A)壓縮 (B)昇華 (C)冷凝 (D)膨脹
22 冷凍機使用下列何者以將高壓冷媒變成低溫低壓冷媒之狀態以利蒸發吸熱? (A)冷媒壓縮機 (B)蒸發器 (C)膨脹閥 (D)溫度開關
23 船舶淨油機所採用之原理為何? (A)過濾法 (B)沉澱法 (C)離心法 (D)汽化法
24 測量柴油機曲軸撓度的目的為何? (A)檢查主軸承之中心線是否正確 (B)檢查傳動軸之中心線是否正確 (C)檢查基座之中心線是否正確 (D)檢查推力軸承之中心線是否正確
25 國際上對海水管路系統,用什麼顏色來辨識? (A)綠色 (B)紅色 (C)藍色 (D)黃色
26 下列何者非大型二行程柴油主機氣缸頭上的構件? (A)燃油噴射閥 (B)起動空氣閥 (C)進氣閥 (D)排氣閥
27 管路系統中,適合安裝於低壓大孔徑為何種閥型? (A)蝶閥 (B)球型閥 (C)洩壓閥 (D)針閥
28 船舶二行程柴油主機在低轉速下,使用何種方法以供應所需的掃氣壓力? (A)使用電動馬達驅動之輔助鼓風機 (B)使用活塞下方之掃氣泵 (C)使用排氣渦輪機 (D)使用排氣再循環
29 下列何者不屬於船舶甲板機械? (A)絞纜機 (B)起重機 (C)空調機 (D)舵機
30 有關柴油機共軌式燃油系統的敘述,下列何者正確? (A)使用燃油噴射泵以供應油壓 (B)該系統使用電磁閥噴油,不使用燃油噴射器 (C)燃油噴射壓力及噴油量可適當的調整,不受引擎轉速影響 (D)燃油開始噴射及停止噴射時間由凸輪控制
31 下列何者不是船舶電力系統重要的組件? (A)電源 (B)主配電盤 (C)饋電盤 (D)蓄電池
32 下列何者為裝置在饋電盤(Feeder panel)上用以連結各電力負載,以管制其用電之元件? (A) Air circuit breaker, ACB (B) Vacuum circuit breaker, VCB (C) Magnetic relay (D) Mould case circuit breaker, MCCB
33 三相匯流排 R.S.T.其識別顏色,下列何者正確? (A) R(藍)、S(白)、T(黑) (B) R(白)、S(紅)、T(黃) (C) R(紅)、S(白)、T(藍) (D) R(紅)、S(藍)、T(黑)
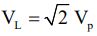
34 三相 Y 接法之線電壓
與相電壓
間之關係為何? (A)
(B)
(C)
(D)
35 船舶 440 V 電氣設備其最低絕緣值應大於多少之上? (A) 1 MΩ (B) 2 MΩ (C) 3 MΩ (D) 4 MΩ
36 當受控系統出現穩態誤差時,可以調整下列何者以消除穩態誤差? (A)比例控制參數 (B)積分控制參數 (C)微分控制參數 (D)延遲時間參數
37 輪機常用術語 BDN 所指為何? (A) Base Discharge Number (B) Bulk Displacement Nozzle (C) Booster Direct North (D) Bunker Delivery Note
38 柴油機與汽油機相比較,下列何者錯誤? (A)柴油機使用壓縮點火,汽油機使用火星塞點火 (B)在吸氣行程中,柴油機吸入的是無油的空氣,使用化油器之汽油機則引入調好混合比的油氣 (C)兩者之壓縮過程與膨脹過程相同,故壓縮比相同 (D)兩者之排氣過程相同
39 輪機日誌時常撰寫之術語 ETA 意思為何? (A)預計離港時間 (B)預計到港時間 (C)預計開航時間 (D)預計靠港時間
40 下列何者為蒸發器的英文? (A) Steamer (B) Steaming gear (C) Evaporator (D) Boiling heater
41 下列何者為舵機的英文? (A) Rudder machine (B) Rudder gear (C) Steering gear (D) Rudder winch
42 船用柴油機之調速器有一手動油門控制旋鈕,若順時針方向轉動,其主要控制為何? (A)增加轉速 (B)減少轉速 (C)增加油壓 (D)減少油壓
43 下列何者為淨油機分離出來的油泥之英文? (A) Sludge (B) Oil mud (C) Oil waste (D) Residual oil
44 與柴油之自燃性有關的性質為下列何者? (A)辛烷值 (B)十六烷值 (C)熱值 (D)含硫量
45 內燃機壓縮比之定義為下列何者? (A)活塞在上死點時的氣缸內容積與在下死點時的氣缸內容積之比 (B)活塞在下死點時的氣缸內容積與在上死點時的氣缸內容積之比 (C)引擎排氣量與活塞在上死點時的氣缸內容積之比 (D)引擎排氣量與活塞在下死點時的氣缸內容積之比
46 請問船舶採用何種方式達成所謂“煞車”行為? (A)轉向 (B)拖船協助 (C)下錨 (D)倒俥
47 下列何者係採用板式熱交換器來達到傳遞熱能之功用? (A)燃油加熱器 (B)空調機冷凝器 (C)蒸氣冷凝器 (D)中央淡水冷卻器
48 若離心式泵浦的葉輪尺寸固定,其排出壓力與葉輪轉速之關係為何? (A)壓力正比於轉速 (B)壓力正比於轉速的平方 (C)壓力正比於轉速的三次方 (D)壓力與轉速無關
49 下列何者為防止船舶污染所制定的公約? (A) SOLAS (B) MARPOL (C) MLC (D) STCW
50 下列何者為在機艙中使用最廣泛的溫度感測元件? (A) PT 100 型測溫裝置 (B)熱電偶 (C)溫敏電阻 (D)共電式溫度計
申論題 (0)
相關試卷
114年 - 114 關務特種考試_五等_輪機工程:輪機工程大意(包括柴油機大意與輔機大意)#126608
114年 · #126608
112年 - 112 關務特種考試_五等_輪機工程:輪機工程大意(包括柴油機大意與輔機大意)#113889
112年 · #113889
110年 - 110 關務特種考試_五等_輪機工程:輪機工程大意(包括柴油機大意與輔機大意)#98156
110年 · #98156
108年 - 108 關務特種考試_五等_輪機工程:輪機工程大意(包括柴油機大意與輔機大意)#75702
108年 · #75702
107年 - 107 關務特種考試_五等_輪機工程:輪機工程大意(包括柴油機大意與輔機大意)#69046
107年 · #69046
105年 - 105 關務特種考試_五等_輪機工程:輪機工程大意(包括柴油機大意與輔機大意)#50093
105年 · #50093
102年 - 102 關務特種考試_五等_輪機工程:輪機工程大意(包括柴油機大意與輔機大意)#46763
102年 · #46763
101年 - 101 關務特種考試_五等_輪機工程:輪機工程大意(包括柴油機大意與輔機大意)#45617
101年 · #45617
99年 - 99 關務特種考試_五等_輪機工程:輪機工程大意(包括柴油機大意與輔機大意)#47266
99年 · #47266
97年 - 97 關務特種考試_五等_輪機工程:輪機工程大意(包括柴油機大意與輔機大意)#49242
97年 · #49242