所屬科目:技檢◆用電設備檢驗-乙級
1.為減少金屬管對建築物強度之影響,埋入混凝土之金屬管外徑,以不超過混凝土厚度之多少為原則?(A)1/3(B)1/8(C)1/5(D)1/4。
2.一台三相220V鼠籠式感應電動機,於全壓啟動時,啟動電流為60A,若採用Y-△啟動,則啟動電流約為多少安培?(A)60(B)30(C)10(D)20。
3.三相三線式二元件瓦時計,同一組元件電壓與電流間相角差為何?(A)60°+θ或60°-θ(B)30°+θ或30°-θ(C)90°-θ(D)90°+θ。
4.以電阻計量測某一實際值為T歐姆之電阻,測得其值為M歐姆,則該電阻計之誤差率為何?(A)(M-T)/M(B)(T-M)/T(C)(T-M)/M(D)(M-T)/T。
5.200W燈泡5盞,每天使用2小時,則每月(30日)共用電多少度?(A)60(B)50(C)40(D)30。
6.下列何者不是噪音的危害所造成的現象?(A)煩躁、失眠(B)精神很集中(C)緊張、焦慮(D)工作效率低落。
7.下列何者非為防範有害物食入之方法?(A)常洗手、漱口(B)有害物與食物隔離(C)穿工作服(D)不在工作場所進食或飲水。
8.避雷器之接地電阻應保持在多少歐姆以下?(A)25(B)50(C)10(D)5。
9.三相三線式非接地系統供電地區,用戶自備變壓器之低壓電源系統接地,其接地電阻應為多少歐姆以下?(A)100(B)25(C)10(D)50。
10.勞工為節省時間,在未斷電情況下清理機臺,易發生危害為何?(A)捲夾感電(B)崩塌(C)缺氧(D)墜落。
11.11.4kV供電之高壓用戶使用15kV級電力電纜,其最小線徑應為多少平方公厘?(A)30(B)14(C)8(D)38。
12.三相感應電動機之轉差率,會因負載增加而產生何種變化?(A)不一定(B)不變(C)減少(D)變大。
13.有流產病史之孕婦,宜避免相關作業,下列何者為非?(A)避免每班站立7小時以上之作業(B)避免砷或鉛的暴露(C)避免提舉3公斤重物的職務(D)避免重體力勞動的職務。
14.三相四線110V2.5A附CT、PT瓦時需量計,與2S-2L電流線圈相互作用之電壓線圈接線端子為何?(A)P2-P1(B)P1-P0(C)P2-P0(D)P1-P2。
15.某公司員工因執行業務,擅自以重製之方法侵害他人之著作財產權,若被害人提起告訴,下列對於處罰對象的敘述,何者正確?(A)僅處罰雇用該名員工的公司(B)該名員工及其雇主皆須受罰(C)僅處罰侵犯他人著作財產權之員工(D)員工只要在從事侵犯他人著作財產權之行為前請示雇主並獲同意,便可以不受處罰。
16.依環境影響評估法規定,第二階段環境影響評估,目的事業主管機關應舉行下列何種會議?(A)辯論會(B)說明會(C)公聽會(D)聽證會。
17.電容器額定電壓超過600伏者,其放電設備應能於線路開放後多少分鐘內,將殘餘電荷降至50伏以下?(A)5(B)10(C)3(D)1。
18.電磁開關之積熱電驛,主要為以下何種保護功用?(A)接地(B)過載及短路(C)短路(D)過載。
19.11.4kV屋內線路,其兩裸導體相互間之最小間隔為多少公厘?(A)400(B)200(C)100(D)300。
20.三相鼠籠式感應電動機做Y-△啟動時其啟動轉矩會降低,成為全壓啟動時之多少倍?(A)√2/2(B)1/2(C)1/3(D)√3/3。
21.特別低壓線路與其他用電線路、水管、煤氣管等應距離多少公厘以上?(A)500(B)150(C)250(D)350。
22.兩台10kVA單相變壓器做V-V接線,若增加一台相同容量變壓器,將其接成△-△接線,則變壓器的輸出容量可增加約多少kVA?(A)12.7(B)22.4(C)10(D)16.8。
23.配電盤上之比流器(CT),其名牌標示之0.5級係表示下列何者?(A)形狀大小(B)絕緣等級(C)準確度(D)耐壓。
24.下列何者非為職業病預防之危害因子?(A)人因工程危害(B)遺傳性疾病(C)化學性危害(D)物理性危害。
25.依據「輸配電設備裝置規則」規定,單獨接戶線電壓降不得超過百分之一。但附有連接接戶線者,得增為百分之多少?(A)2(B)3(C)1.5(D)2.5。
26.基於節能減碳的目標,下列何種光源發光效率最低,不鼓勵使用?(A)白熾燈泡(B)LED燈泡(C)螢光燈管(D)省電燈泡。
27.利用兩只單相瓦特計測量三相感應電動機之功率,其中一只瓦特計之指示為零時,則此電動機之功率因數為何?(A)1(B)0.866(C)0.5(D)0.707。
28.靜電式電表之偏轉轉矩與被測電壓為何種關係?(A)平方成正比(B)成反比(C)成正比(D)平方成反比。
29.一電儀表之誤差百分率為5%,測得某一電阻為50Ω,則此電阻之真實值約為多少歐姆?(A)52.4(B)50.0(C)47.6(D)53。
30.所在地於澎湖縣之用電設備檢驗維護業申請將臺灣本島之行政區域登記為維護範圍者,應以相連的幾個行政區域為限?(A)6(B)3(C)5(D)4。
31.2戶以下住宅之太陽光電電源電路及輸出電路,除燈座、燈具或插座外,其太陽光電系統中電路之電壓系統電壓最高得多少伏特?(A)600(B)380(C)250(D)440。
32.集合式住宅的地下停車場需要維持通風良好的空氣品質,又要兼顧節能效益,下列的排風扇控制方式何者是不恰當的?(A)結合一氧化碳偵測器,自動啟動/停止控制(B)設定每天早晚二次定期啟動排風扇(C)淘汰老舊排風扇,改裝取得節能標章、適當容量的高效率風扇(D)兩天一次運轉通風扇就好了。
33.MΩ是下列何者之單位?(A)接地電阻(B)線圈阻抗(C)絕緣電阻(D)線圈電阻。
34.電業計費用電子式電表不包含有下列那些裝置?(A)LCD顯示裝置(B)微電腦(C)通訊及控制系統(D)類比數位轉換裝置。
35.熱水器之電源電壓較額定電壓低10%,則其負載會較額定減少多少%?(A)15(B)10(C)19(D)30。
36.額定25kV以下之交流電力電纜者,得採用下列那些直流試驗電壓加於導線與大地之間?(A)最大對地電壓3倍(3U0)耐壓10分鐘(B)最大對地電壓3倍(3U0)耐壓15分鐘(C)最大對地電壓4倍(4U0)耐壓10分鐘(D)最大對地電壓4倍(4U0)直流試驗電壓耐壓15分鐘。
37.半波整流電壓表之靈敏度最大只有直流電壓表的百分之多少?(A)60(B)45(C)75(D)90。
38.高壓配電盤之裝置須不會使工作人員於正常工作情況下發生危險,否則應有適當之防護設備,其通道原則上宜保持在多少公厘以上?(A)800(B)600(C)500(D)700。
39.特別低壓設施應選用之導線,其線徑不得低於多少公厘?(A)1.6(B)0.8(C)0.2(D)2.0。
40.下列何者非屬資源回收分類項目中「廢紙類」的回收物?(A)紙袋(B)用過的衛生紙(C)報紙(D)雜誌。
41.用戶用電設備裝置規則中,高壓接戶線係指以多少伏特以上電壓供電者?(A)11000(B)22000(C)3300(D)600。
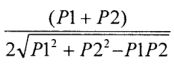
42.利用兩只單相瓦特表測量三相功率時,其總功率表示式為何?(A)(B)P1+P2(C)(P1-P2)(D)(P1+P2)。
43.儀表測定值與被測物之實際值間之接近程度稱之為何?(A)解析度(B)靈敏度(C)精密度(D)準確度。
44.太陽光電電源及太陽光電輸出電路之設備接地導線最小線徑應多少平方公厘以上?(A)1.25(B)5.5(C)3.5(D)2.0。
45.工業用紅外線電熱燈其額定超過多少瓦特,非經設計者確認者,不得使用螺旋型燈座?(A)400(B)200(C)300(D)100。
46.三相三線式6kV高壓配電線路,已知線路電流為100A,電力為900kW,則其功率因數約為多少?(A)86%(B)90%(C)98%(D)95%。
47.棒狀、管狀及板狀接地電極,設置多根接地電極者,電極應間隔多少公尺以上?(A)1.5(B)1.8(C)0.9(D)2。
48.太陽光電電源電路之配線系統每一區段均應於視線可及處標示,標識之間隔不得超過多少公尺?(A)15(B)10(C)1(D)3。
49.下列何者不會減少溫室氣體的排放?(A)增高燃煤氣體排放的煙囪(B)大量植樹造林,禁止亂砍亂伐(C)減少使用煤、石油等化石燃料(D)開發太陽能、水能等新能源。
50.特高壓以上用戶自備變電所報竣工需於預定加入系統前多少天完成?(A)10(B)3(C)20(D)7。
51.個人資料保護法規定為保護當事人權益,多少位以上的當事人提出告訴,就可以進行團體訴訟?(A)20人(B)10人(C)15人(D)5人。
52.某用戶裝設單相二線式電度表,瓦時常數為500rev/kWh,現場發現圓盤旋轉10轉所需時間為36秒,則當時負載為多少W?(A)1500(B)2000(C)1000(D)500。
53.大多數的吸菸者都嘗試過戒菸,但是很少自己戒菸成功。吸菸的同事要戒菸,怎樣建議他是無效的?(A)戒菸是自己意願的問題,想戒就可以戒了不用尋求協助(B)建議他到醫療院所、社區藥局找藥物戒菸(C)鼓勵他撥打戒菸專線0800-63-63-63,取得相關建議與協助(D)建議他參加醫院或衛生所辦理的戒菸班。
54.電容器的電容量與它的金屬片面積成正比,而與兩金屬片間之距離成何種關係?(A)平方成正比(B)平方成反比(C)成反比(D)成正比。
55.都市中常產生的「熱島效應」會造成何種影響?(A)空氣污染物易擴散(B)增加降雨(C)空氣污染物不易擴散(D)溫度降低。
56.電源頻率由50赫變為60赫時,下列何種器具不受影響?(A)電容器(B)電熱器(C)變壓器(D)日光燈。
57.下列關於營業秘密的敘述,何者不正確?(A)營業秘密得全部或部分讓與他人或與他人共有(B)受雇人於非職務上研究或開發之營業秘密,仍歸雇用人所有(C)營業秘密不得為質權及強制執行之標的(D)營業秘密所有人得授權他人使用其營業秘密。
58.溫室氣體排放量:指自排放源排出之各種溫室氣體量乘以各該物質溫暖化潛勢所得之合計量,以(A)二氧化碳(CO2)(B)六氟化硫(SF6)(C)甲烷(CH4)(D)氧化亞氮(N2O)當量表示。
59.自用發電設備之發電容量,在多少kW以上者,購置或擴充時,應申請電業管制機關核發工作許可證?(A)2000(B)1000(C)500(D)300。
60.甲變電所至乙變電所的輸電線負載電流200安培時,線路損失100仟瓦,若輸電線電流變為300安培時,則線路損失變為多少仟瓦?(A)160(B)66.6(C)225(D)300。複選題:
61.某20kVA、2200/220伏單相變壓器,低壓側做開路試驗紀錄如下:=220V、=2.5A、=220W,高壓側做短路試驗紀錄如下:=50V、=9A、=720W,請問下列何者正確?(A)銅損為720W(B)鐵損為220W(C)功率因數為1時,滿載效率為95.5%(D)鐵損電流0.625A。
62.設單相變壓器匝數比a=N1/N2,請問下列三相連接組合中何者可昇壓或降壓√3倍?(A)Y-Δ(B)Δ-Δ(C)Δ-Y(D)Y-Y。
63.下列敘述何者為正確?(A)低壓電表之表前開關須加以封印(B)電表接線箱須加以封印(C)電表之變比器保護箱須加以封印(D)高壓電表之變比器,其隔離開關須加以封印。
64.有危險物質存在場所,在安裝電具設備,下列何者屬正確裝置方式?(A)正常運轉之下可能產生火花之斷路器應為密封式構造(B)燈具座藉金屬吊管等固定於建築物(C)放電管燈得不加保護罩(D)移動用燈具須有堅固之外殼。
65.有關變比器之裝用規則,下列敘述何者為正確?(A)變比器無定期試驗需要(B)變比器需要比照併用之電表,定期試驗檢定合格始可裝用(C)計費用之多變比變比器,最高變比至最低變比皆須同一準確度等級及標準負擔(D)計費用變比器應先經檢定合格始可裝用。
66.變流器(Inverter)功能,下列敘述何者正確?(A)交流輸出電壓(B)改變電能波形(C)改變電能電壓大小(D)直流輸入電壓。
67.導線之線徑大於50平方公厘者得並聯使用,除使用相同之裝置法,導線並應符合下列那些條件?(A)導體材質相同(B)絕緣材質相同(C)截面積相同(D)長度相同。
68.用電場所負責人應督同專任電氣技術人員對所經管之用電設備檢驗期限為何?(A)每三個月至少檢驗一次(B)每年至少停電檢驗一次(C)每六個月至少檢驗一次(D)每六個月至少停電檢驗一次。
69.電動車供電設備之分路負載為40安,下列何者額定電流可作為分路過電流保護裝置?(A)60安(B)50安(C)30安(D)40安。
70.電流表特性與使用,下列何者為正確?(A)電流表之分流電阻愈小,其可測得之電流量愈大(B)直流電流表可串聯電阻器擴大其量測範圍(C)電流表應與欲測電路串聯(D)理想電流表內阻應是愈小愈好。
71.下列何者能用來測試變壓器極性的試驗方法?(A)短路試驗法(B)標準變壓器比較法(或保險絲法)(C)直流電壓法(D)交流電壓法。
72.接觸電阻試驗適用於下列何種高壓設備?(A)開關(B)電容器(C)避雷器(D)斷路器。
73.下列那些用電設備或線路,除應按規定施行接地外,並應在電路上或該等設備之適當處所裝設漏電斷路器?(A)辦公處所電梯(B)工程興建之臨時用電設備(C)灌溉用電設備(D)住宅浴室插座分路。
74.下列何者得作為衣櫥內之照明燈具?(A)吊燈或燈座(B)完全密封型光源之LED照明燈具(C)吸頂式或嵌入式之螢光燈具(D)白熾燈。
75.檢驗維護業有哪些情形,地方主管機關應視其情節輕重,通知限期改善並回報改善情形?(A)未依規定檢驗期限維護(B)檢驗維護業負責人,具有各級電氣技術人員資格者,得自任為專任技術人員(C)發生電氣事故時,除不可抗力外,未能於二小時內派專任技術人員到場處理(D)未備置法定工具設備。
76.使用儀表應注意事項有哪些?(A)測量信號較小之物理量,應使用靈敏度高之儀表(B)引線越短越好(C)對被測物之特性(如電壓值、電流值等)不甚了解時,應先以低檔位量測(D)使用中之儀表若發覺所選用之適用檔位有錯誤時,應先將儀表與被測物分開,再調整檔位。
77.HDPE管除另有規定外,不得使用於下列何種情形或場所?(A)直埋於混凝土厚度小於50公厘(B)暴露場所(C)有危險物質存在場所(D)潮濕場所。
78.高壓用電設備在送電前,可由下列那些單位作竣工試驗?(A)原施工電器承裝業(B)原監造電機技師事務所(C)登記合格之電氣技術顧問團體(D)中央政府相關主管機關或其認可之檢驗機構。
79.三個電感值為L且不具互感的電感器,作不同連接時之電感值下列敘述何者正確?(A)並聯之總電感為L/3(B)Y連接時任意兩線間的總電感為2L(C)Δ連接時任意兩線間的總電感為3L/2(D)串聯之總電感為3L。
80.依用戶用電設備裝置規則特別低壓設施所指之變壓器,其規格下列何者正確?(A)一、二次端子側應加標誌(B)一次側電壓300伏以下(C)二次側電壓30伏以下(D)額定容量不超過750伏安。