所屬科目:教甄◆數學
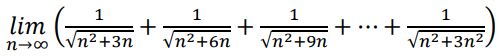
1. 求 = _________。
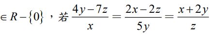
3. 設x、y、z,試求 x:y:z =_______ 。
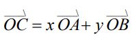
4. 有一半徑為 1 且圓心角為 120°的扇形 OAB,如右圖,動點 C 在圓弧上變動。 若,x, y ∈ ℝ。試求 x − y的範圍為_________ 。
6. 設函數f 滿足 f (1)= 2 ,且對每一個正整數x, f( x+3)≥f( x)+3,f(x+1)≤f(x)+1都成立, 試求 f (2024) =_________ 。
7. 動物園用以下方式建立了一個大型鳥籠:在一個邊長為 10 公尺的正方形平台上, 立起兩支以底面對角線為直徑的半圓形鋼架,落腳點就在平台上的四個頂點上, 而交叉點在底面中心的正上方;然後在鋼架上張起鐵絲網, 使得每個水平面上的鐵絲網都是頂點落在鋼架上的正方形, 試求此鳥籠的容積為________ 。
8. 設,求 a的整數部分為 ________。
9. 已知,求 (1) a + b之最小值為________ 。
(2) 承(1),此時Γ 方程式為________ 。
10.已知多項式函數 f (x)=2x3-3x2+4x-2,則 = ________。
11.有一顆公正的正六面體骰子,其六面分別標示 1,2,3,4,5,6(每個點數會發生的機會均等),今連續投擲 113 次,且每次的結果互不影響,設 ai 表示第 i 次投擲所得的點數, Sn 表示前 n 次投擲所得的點數和,即 ,隨機變數 X 表示S1 , S2 ,... ,S113 中 6 的倍數之個數,則 X 的數學期望值 E(X) 為_________ 。
12.在平面直角坐標系中,已知圓 C : x2 + y2= 36 與定點 P(2, 4) ,若 M N, 是圓 C 上的兩個相異動點, 且滿足 的最小值為_______ 。
13.如圖所示,已知兩條平行直線 L1, L2的距離為 2,兩個定點 AB, 在直線 L1 上且 = 4 ,而兩個動點 M N, 在直線 L2 上且= 4 。設△ AMN 的外心 C 到直線 L2 的距離是 d ,
則的最小值為___________ 。
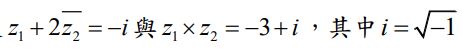
14.設兩複數 z1,z2 滿足,則 | z1 | 的值為 。
(2) 已知 a、b、c 為正數,求證:。
3. 試求最小正實數 r ,使得存在正實數數列 {an}滿足對任意正整數 n 都有a1+a2+...+an+1≤ ran。